DICOM PS3.14 2021a - Grayscale Standard Display Function

A.2 Details of the Barten Model

Barten's model considers neural noise, lateral inhibition, photon noise, external noise, limited integration capability, the optical modulation transfer function, orientation, and temporal filtering. Neuron noise represents the upper limit of Contrast Sensitivity at high spatial frequencies. Low spatial frequencies appear to be attenuated by lateral inhibition in the ganglion cells that seems to be caused by the subtraction of a spatially low-pass filtered signal from the original. Photon noise is defined by the fluctuations of the photon flux h, the pupil diameter d, and quantum detection efficiency η of the eye. At low light levels, the Contrast Sensitivity is proportional to the square-root of Luminance according to the de Vries-Rose law. The temporal integration capability in the model used here is simply represented by a time constant of T = 0.1 sec. Temporal filtering effects are not included. Next to the temporal integration capability, the eye also has limited spatial integration capability: There is a maximum angular size XE x YE as well as a maximum number of cycles NE over which the eye can integrate information in the presence of various noise sources. The optical modulation transfer function

Equation A-1. 


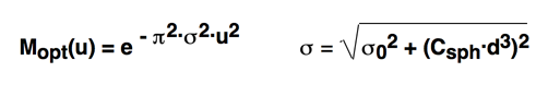
(u, spatial frequency in c/deg) is derived from a Gaussian point-spread function including the optical properties of the eye-lens, stray light from the optical media, diffusion in the retina, and the discrete nature of the receptor elements as well as from the spherical aberration, Csph, which is the main pupil-diameter-dependent component. σ0 is the value of σ at small pupil sizes. External noise may stem from Display System noise and image noise. Contrast sensitivity varies approximately sinusoidally with the orientation of the test pattern with equal maximum sensitivity at 0 and 90 deg and minimal sensitivity at 45 de.g., The difference in Contrast Sensitivity is only present at high spatial frequencies. The effect is modeled by a variation in integration capability.

The combination of these effects yields the equation for contrast as a function of spatial frequency:

Equation A-2. 


The effect of noise appears in the first parenthesis within the square-root as a noise contrast related to the variances of photon (first term), filtered neuron (second term), and external noise. The Illuminance, IL = π/4 d2L, of the eye is expressed in trolands [td], d is the pupil diameter in mm, and L the Luminance of the Target in cd/m2. The pupil diameter is determined by the formula of de Groot and Gebhard:

Equation A-3. 

d = 4.6 - 2.8 . tanh(0.4 . Log10(0.625 . L))


The term (1 - F(u))2 = 1 - exp(-u2/u0 2) describes the low frequency attenuation of neuron noise due to lateral inhibition (u0 = 8 c/deg). Equation A-2 represents the simplified case of square targets, X0 = Y0 [deg]. Φext is the contrast variance corresponding to external noise. k = 3.3, η = 0.025, h = 357.3600 photons/td sec deg2; the contrast variance corresponding to the neuron noise Φ0 = 3.10-8 sec deg2, XE = 12 deg, NE = 15 cycles (at 0 and 90 deg and NE = 7.5 cycles at 45 deg for frequencies above 2 c/deg), σ0 = 0.0133 deg, Csph = 0.0001 deg/mm3 [A1]. Equation A-2 provides a good fit of experimental data for 10-4 ≤ L ≤ 103 cd/m2, 0.5 ≤ X0 ≤ 60 deg, 0.2 ≤ u ≤ 50 c/deg.

After inserting all constants, Equation A-2 reduces to

Equation A-4. 


with q1 = 0.1183034375, q2 = 3.962774805 . 10-5, and q3 = 1.356243499 . 10-7.

When viewed from 250 mm distance, the Standard Target has a size of about 8.7 mm x 8.7 mm and the spatial frequency of the grid equals about 0.92 line pairs per millimeter.

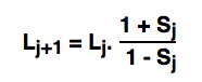
The Grayscale Standard Display Function is obtained by computing the Threshold Modulation Sj as a function of mean grating Luminance and then stacking these values on top of each other. The mean Luminance of the next higher level is calculated by adding the peak-to-peak modulation to the mean Luminance Lj of the previous level:

Equation A-5. 


Thus, in PS3.14, the peak-to-peak Threshold Modulation is called a just-noticeable Luminance difference.

When a Display System conforms with the Grayscale Standard Display Function, it is perceptually linearized when observing the Standard Target: If a Display System had infinitely fine digitization resolution, equal increments in P-Value would produce equally perceivable contrast steps and, under certain conditions, just-noticeable Luminance differences (displayed one at a time) for the Standard Target (the grating with sinusoidal modulation of 4 c/degree over a 2 degree x 2 degree area, embedded in a uniform background with a Luminance equal to the mean target Luminance).

The display of the Standard Target at different Luminance levels one at a time is an academic display situation. An image containing different Luminance levels with different targets and Luminance distributions at the same time is in general not perceptually linearized. It is once more emphasized that the concept of perceptual linearization of Display Systems for the Standard Target served as a logical means for deriving a continuous mathematical function and for meeting the secondary goals of the Grayscale Standard Display Function. The function may represent a compromise between perceptual linearization of complex images by strongly-bent Display Functions and gaining similarity of grayscale perception within an image on Display Systems of different Luminance by a log-linear Display Function.

The Characteristic Curve of the Display System is measured and represented by {Luminance, DDL}-pairs Lm = F(Dm). A discrete transformation may be performed that maps the previously used DDLs, Dinput, to Doutput according to Equations (A6) and (A7) such that the available ensemble of discrete Luminance levels is used to approximate the Grayscale Standard Display Function L = G(j). The transformation is illustrated in Fig. A1. By such an operation, conformance with the Grayscale Standard Display Function may be reached.

Equation A-6. 

Doutput = s . F-1[G(j)]


s is a scale factor for accommodating different input and output digitization resolutions.

The index j (which in general will be a non-integer number) of the Standard Luminance Levels is determined from the starting index j0 of the Standard Luminance level at the minimum Luminance of the Display System (including ambient light), the number of Standard JNDs, NJND, over the Luminance Range of the Display System, the digitization resolution DR, and the DDLs, Dinput, of the Display System:

Equation A-7. 

I = I0 + NJND / DR . Dinput


A detailed example for executing such a transformation is given in Annex D.

DICOM PS3.14 2021a - Grayscale Standard Display Function