DICOM PS3.3 2021a - Information Object Definitions

C.36.17 Tomotherapeutic Beam Module

The Tomotherapeutic Beam Module specifies or records how a tomotherapeutic treatment is to be or was delivered.

Table C.36.17-1. Tomotherapeutic Beam Module Attributes

Attribute Name

Tag

Type

Description

Table Speed

(0018,9309)

1C

Nominal table speed in mm/s.

Required if RT Record Flag (300A,0639) equals NO. May be present otherwise.

Revolution Time

(0018,9305)

1C

Nominal time in seconds of one rotation of the gantry.

Required if RT Treatment Technique Code Sequence (3010,0080) contains (130108, DCM, "Helical Beam") and if RT Record Flag (300A,0639) equals NO.

May be present if RT Treatment Technique Code Sequence (3010,0080) contains (130108, DCM, "Helical Beam") and if RT Record Flag (300A,0639) equals YES.

Number of RT Control Points

(300A,0604)

1

Number of RT Control Points in the Tomotherapeutic Control Point Sequence (3010,0098).

The value shall be equal to or greater than 2.

Tomotherapeutic Control Point Sequence

(3010,0098)

1

Control Points for the beam delivery.

The number of Items included in this Sequence shall equal the value of Number of RT Control Points (300A,0604).

>Include Table C.36.2.2.6-1 “External Beam Control Point General Macro Attributes”.

Defined CID 9558 "Tomotherapeutic Dose Rate Units"

>Include Table C.36.2.2.9-1 “RT Beam Limiting Device Opening Macro Attributes”.

>Referenced Radiation Generation Mode Index

(300A,0605)

1C

The value of Radiation Generation Mode Index (300A,0601) in the Radiation Generation Mode Sequence (300A,067B) in this IOD that defines the Radiation Generation Mode used for this Control Point.

Required if Number of Radiation Generation Modes (300A,0685) is present and the conditions in Section C.36.2.2.5.1.1 are satisfied.

>Source Roll Angle

(300A,067A)

1C

Source roll angle in degrees of the Radiation Source at the Control Point with respect to the Equipment Coordinate System. The angle is a Continuous Rotation Angle, see Section C.36.1.1.5.

See Section C.36.15.1.1 and Section C.36.12.1.1.

Required if the conditions in Section C.36.2.2.5.1.1 are satisfied.

>Tomotherapeutic Leaf Open Durations

(3010,0099)

1C

The time in seconds each leaf is open during the Control Point interval, see Section C.36.17.1.

The number of leaves (N) is equal to Number of Parallel RT Beam Delimiters (300A,0648).

N values shall be provided in the order of Parallel RT Beam Delimiter Boundaries (300A,0649).

Required if RT Record Flag (300A,0639) equals NO and the conditions in Section C.36.2.2.5.1.1 are satisfied.

>Tomotherapeutic Leaf Initial Closed Durations

(3010,009A)

1C

The time in seconds each leaf is closed at the beginning of the Control Point interval, see Section C.36.17.1.

The number of leaves (N) is equal to Number of Parallel RT Beam Delimiters (300A,0648).

The N values shall be provided in the order of Parallel RT Beam Delimiter Boundaries (300A,0649).

Required if RT Record Flag (300A,0639) equals NO and at least one leaf open time is not symmetrical about the mid-point of the Control Point interval and the conditions in Section C.36.2.2.5.1.1 are satisfied.


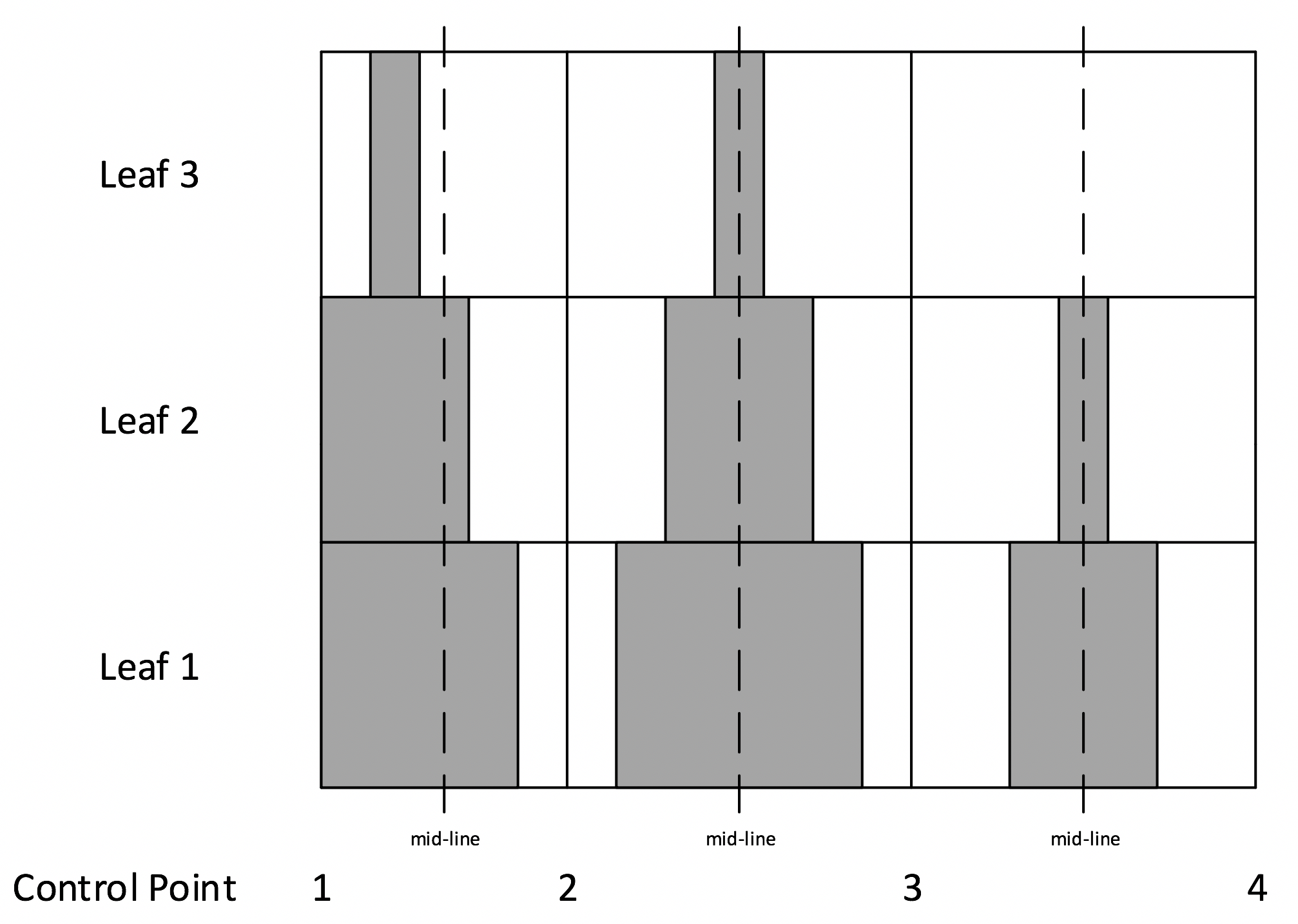
C.36.17.1 Tomotherapeutic Leaf Closed and Open Durations

Typically, the Tomotherapeutic Leaf Open Durations (3010,0099) are symmetric about the mid-point of the Control Point interval. If they are not, Tomotherapeutic Leaf Initial Closed Durations (3010,009A) is present, which specifies the duration of time that each leaf is closed starting from this Control Point. Tomotherapeutic Leaf Open Durations (3010,0099) then specifies the duration of time that each leaf is open after Tomotherapeutic Leaf Initial Closed Durations (3010,009A).

For each leaf, the sum of the Tomotherapeutic Leaf Initial Closed Durations (3010,009A) and the Tomotherapeutic Leaf Open Durations (3010,0099) shall not exceed the Control Point interval.

Diagram of Tomotherapeutic Leaf Open and Closed Durations

Figure C.36.17-1. Diagram of Tomotherapeutic Leaf Open and Closed Durations


Table C.36.17-2. Tomotherapeutic Leaf Open and Closed Durations

N Control Point Index

Attribute

Leaf 1

Leaf 2

Leaf 3

1

Tomotherapeutic Leaf Open Durations

0.4s

0.3s

0.1s

Tomotherapeutic Leaf Initial Closed Durations

0

0

0.1s

2

Tomotherapeutic Leaf Open Durations

0.5s

0.3s

0.1s

Tomotherapeutic Leaf Initial Closed Durations

Not present

3

Tomotherapeutic Leaf Open Durations

0.3s

0.1s

0

Tomotherapeutic Leaf Initial Closed Durations

Not present


In Figure C.36.17-1, the gray sections indicate when the leaves are open during radiation delivery. Table C.36.17-2 illustrates the use of Tomotherapeutic Leaf Open Durations (3010,0099) and Tomotherapeutic Leaf Initial Closed Durations (3010,009A) based on the diagram. In the Control Point interval between Control Point 1 and 2, the leaf openings are not symmetric within the Control Point interval, so Tomotherapeutic Leaf Initial Closed Durations (3010,009A) is provided.

In the Control Point interval between Control Point 2 and 3, all leaf opening durations are symmetric about the mid-point of the Control Point interval, therefore only Tomotherapeutic Leaf Open Durations (3010,0099) is provided.

DICOM PS3.3 2021a - Information Object Definitions