PS3.14

DICOM PS3.14 2015b - Grayscale Standard Display Function

DICOM Standards Committee


Table of Contents

Notice and Disclaimer
Foreword
1. Scope and Field of Application
2. Normative References
Bibliography
3. Definitions
Glossary
4. Symbols and Abbreviations
5. Conventions
6. Overview
7. The Grayscale Standard Display Function
7.1. General Formulas
7.2. Transmissive Hardcopy Printers
7.3. Reflective Hardcopy Printers
8. References
A. Derivation of the Grayscale Standard Display Function (Informative)
A.1. Rationale For Selecting the Grayscale Standard Display Function
A.2. Details of the Barten Model
A.3. References
B. Table of the Grayscale Standard Display Function (Informative)
C. Measuring the Accuracy With Which a Display System Matches the Grayscale Standard Display Function (Informative)
C.1. General Considerations Regarding Conformance and Metrics
C.2. Methodology
C.3. References
D. Illustrations for Achieving Conformance with the Grayscale Standard Display Function (Informative)
D.1. Emissive Display Systems
D.1.1. Measuring the System Characteristic Curve
D.1.2. Application of the Standard Formula
D.1.3. Implementation of the Standard
D.1.4. Measures of Conformance
D.2. Transparent Hardcopy Devices
D.2.1. Measuring the System Characteristic Curve
D.2.2. Application of the Grayscale Standard Display Function
D.2.3. Implementation of the Grayscale Standard Display Function
D.2.4. Measures of Conformance
D.3. Reflective Display Systems
D.3.1. Measuring the System Characteristic Curve
D.3.2. Application of the Grayscale Standard Display Function
D.3.3. Implementation of the Grayscale Standard Display Function
D.3.4. Measures of Conformance
E. Realizable JND Range of a Display Under Ambient Light (Informative)

List of Figures

6-1. The Grayscale Standard Display Function is an element of the image presentation after several modifications to the image have been completed by other elements of the image acquisition and presentation chain.
6-2. The conceptual model of a Standardized Display System maps P-Values to Luminance via an intermediate transformation to Digital Driving Levels of an unstandardized Display System.
7-1. The Grayscale Standard Display Function presented as logarithm-of-Luminance versus JND-Index
A-1. Illustration for determining the transform that changes the Characteristic Curve of a Display System to a Display Function that approximates the Grayscale Standard Display Function
C-1. Illustration for the LUM and FIT conformance measures
D.1-1. The test pattern will be a variable intensity square in the center of a low Luminance background area.
D.1-2. Measured Characteristic Curve with Ambient Light of an emissive Display System
D.1-3. Measured and interpolated Characteristic Curve, Grayscale Standard Display Function and transformed Display Function of an emissive Display System. The transformed Display Function for this Display System matches the Grayscale Standard Display Function and the two curves are superimposed and indistinguishable.
D.1-4. LUM and FIT measures of conformance for a the transformed Display Function of an emissive Display System
D.2-1. Layout of a Test Pattern for Transparent Hardcopy Media
D.2-3. Plot of OD vs P-Value for an 8-Bit Printer
D.3-1. Measured and interpolated Characteristic Curve and Grayscale Standard Display Function for a printer producing reflective hard-copies
D.3-2. Transformation for modifying the Characteristic Curve of the printer to a Display Function that approximates the Grayscale Standard Display Function
D.3-3. Transformed Display Function and superimposed Grayscale Standard Display Function for a reflective hard-copy Display System. The transformed Display Function for this Display System matches the Grayscale Standard Display Function and the two curves are superimposed and indistinguishable.
D.3-4. Measures of conformance for a reflective hard-copy Display System with equal input and output digitization resolution of 8 bits

List of Tables

B-1. Grayscale Standard Display Function: Luminance versus JND Index
D.1-1. Measured Characteristic Curve plus Ambient Light
D.1-2. Look-Up Table for Calibrating Display System
D.2-1. Optical Densities for Each P-Value for an 8-Bit Printer
D.3-1. Look-Up Table for Calibrating Reflection Hardcopy System

Notice and Disclaimer

The information in this publication was considered technically sound by the consensus of persons engaged in the development and approval of the document at the time it was developed. Consensus does not necessarily mean that there is unanimous agreement among every person participating in the development of this document.

NEMA standards and guideline publications, of which the document contained herein is one, are developed through a voluntary consensus standards development process. This process brings together volunteers and/or seeks out the views of persons who have an interest in the topic covered by this publication. While NEMA administers the process and establishes rules to promote fairness in the development of consensus, it does not write the document and it does not independently test, evaluate, or verify the accuracy or completeness of any information or the soundness of any judgments contained in its standards and guideline publications.

NEMA disclaims liability for any personal injury, property, or other damages of any nature whatsoever, whether special, indirect, consequential, or compensatory, directly or indirectly resulting from the publication, use of, application, or reliance on this document. NEMA disclaims and makes no guaranty or warranty, expressed or implied, as to the accuracy or completeness of any information published herein, and disclaims and makes no warranty that the information in this document will fulfill any of your particular purposes or needs. NEMA does not undertake to guarantee the performance of any individual manufacturer or seller's products or services by virtue of this standard or guide.

In publishing and making this document available, NEMA is not undertaking to render professional or other services for or on behalf of any person or entity, nor is NEMA undertaking to perform any duty owed by any person or entity to someone else. Anyone using this document should rely on his or her own independent judgment or, as appropriate, seek the advice of a competent professional in determining the exercise of reasonable care in any given circumstances. Information and other standards on the topic covered by this publication may be available from other sources, which the user may wish to consult for additional views or information not covered by this publication.

NEMA has no power, nor does it undertake to police or enforce compliance with the contents of this document. NEMA does not certify, test, or inspect products, designs, or installations for safety or health purposes. Any certification or other statement of compliance with any health or safety-related information in this document shall not be attributable to NEMA and is solely the responsibility of the certifier or maker of the statement.

Foreword

This DICOM Standard was developed according to the procedures of the DICOM Standards Committee.

While other parts of the DICOM Standard specify how digital image data can be moved from system to system, it does not specify how the pixel values should be interpreted or displayed. PS3.14 specifies a function that relates pixel values to displayed Luminance levels.

A digital signal from an image can be measured, characterized, transmitted, and reproduced objectively and accurately. However, the visual interpretation of that signal is dependent on the varied characteristics of the systems displaying that image. Currently, images produced by the same signal may have completely different visual appearance, information, and characteristics on different display devices.

In medical imaging, it is important that there be a visual consistency in how a given digital image appears, whether viewed, for example, on the display monitor of a workstation or as a film on a light-box. In the absence of any standard that regulates how these images are to be visually presented on any device, a digital image that has good diagnostic value when viewed on one device could look very different and have greatly reduced diagnostic value when viewed on another device. Accordingly, PS3.14 was developed to provide an objective, quantitative mechanism for mapping digital image values into a given range of Luminance. An application that knows this relationship between digital values and display Luminance can produce better visual consistency in how that image appears on diverse display devices. The relationship that PS3.14 defines between digital image values and displayed Luminance is based upon measurements and models of human perception over a wide range of Luminance, not upon the characteristics of any one image presentation device or of any one imaging modality. It is also not dependent upon user preferences, which can be more properly handled by other constructs such as the DICOM Presentation Lookup Table.

The DICOM Standard is structured as a multi-part document using the guidelines established in [ISO/IEC Directives, Part 3].

1 Scope and Field of Application

PS3.14 specifies a standardized Display Function for display of grayscale images. It provides examples of methods for measuring the Characteristic Curve of a particular Display System for the purpose of either altering the Display System to match the Grayscale Standard Display Function, or for measuring the conformance of a Display System to the Grayscale Standard Display Function. Display Systems include such things as monitors with their associated driving electronics and printers producing films that are placed on light-boxes or alternators.

PS3.14 is neither a performance nor an image display standard. PS3.14 does not define which Luminance and/or Luminance Range or optical density range an image presentation device must provide. PS3.14 does not define how the particular picture element values in a specific imaging modality are to be presented.

PS3.14 does not specify functions for display of color images, as the specified function is limited to the display of grayscale images. Color Display Systems may be calibrated to the Grayscale Standard Display Function for the purpose of displaying grayscale images. Color images, whether associated with an ICC Profile or not, may be displayed on standardized grayscale displays, but there are no normative requirements for the display of the luminance information in a color image using the GSDF.

2 Normative References

The following standards contain provisions, which, through reference in this text, constitute provisions of this Standard. At the time of publication, the editions indicated were valid. All standards are subject to revision, and parties to agreements based on this Standard are encouraged to investigate the possibilities of applying the most recent editions of the standards indicated below.

[ISO/IEC Directives, Part 3] ISO/IEC. 1989. Drafting and presentation of International Standards.

3 Definitions

For the purposes of this Standard the following definitions apply.

3.1 Display Definitions

Characteristic Curve

The inherent Display Function of a Display System including the effects of ambient light. The Characteristic Curve describes Luminance versus DDL of an emissive display device, such as a CRT/display controller system, or Luminance of light reflected from a print medium, or Luminance derived from the measured optical density versus DDL of a hard-copy medium and the given Luminance of a light-box. The Characteristic Curve depends on operating parameters of the Display System.

Note

The Luminance generated by an emissive display may be measured with a photometer. Diffuse optical density of a hard-copy may be measured with a densitometer.

Contrast Sensitivity

characterizes the sensitivity of the average human observer to Luminance changes of the Standard Target. Contrast Sensitivity is inversely proportional to Threshold Modulation.

Contrast Threshold

A function that plots the Just-Noticeable Difference divided by the Luminance across the Luminance Range.

Digital Driving Level (DDL)

A digital value that given as input to a Display System produces a Luminance. The set of DDLs of a Display System is all the possible discrete values that can produce Luminance values on that Display System. The mapping of DDLs to Luminance values for a Display System produces the Characteristic Curve of that Display System. The actual output for a given DDL is specific to the Display System and is not corrected for the Grayscale Standard Display Function.

Display Function

A function that describes a defined grayscale rendition of a Display System, the mapping of the DDLs in a defined space to Luminance, including the effects of ambient light at a given state of adjustment of the Display System. Distinguished from Characteristic Curve, which is the inherent Display Function of a Display System.

Display System

A device or devices that accept DDLs to produce corresponding Luminance values. This includes emissive displays, transmissive hardcopy viewed on light boxes, and reflective hardcopy.

Illuminance

Light from the environment surrounding the Display System that illuminates the display medium. It contributes to the Luminance that is received by an observer from the image display. Ambient Light reduces the contrast in the image.

Just-Noticeable Difference (JND)

The Luminance difference of a given target under given viewing conditions that the average human observer can just perceive.

JND Index

The input value to the Grayscale Standard Display Function, such that one step in JND Index results in a Luminance difference that is a Just-Noticeable Difference.

Luminance

is the luminous intensity per unit area projected in a given direction. The Système Internationale unit (used in PS3.14) is candela per square meter (cd/m2), which is sometimes called nit. Another unit often used is footlambert (fL). 1 fL = 3.426 cd/m2.

Luminance Range

The span of Luminance values of a Display System from a minimum Luminance to a maximum Luminance.

P-Value

A device independent value defined in a perceptually linear grayscale space. The output of the DICOM Presentation LUT is P-Values, i.e., the pixel value after all DICOM defined grayscale transformations have been applied. P-Values are the input to a Standardized Display System.

Grayscale Standard Display Function

The mathematically defined mapping of an input JND index to Luminance values defined in PS3.14.

Standardized Display System

A device or devices that produce Luminance values that are related to input P-Values by the Grayscale Standard Display Function. How this is performed is not defined, though it may be achieved by transformation of P-Values into DDLs accepted by a Display System.

Standard Luminance Level

Any one of the Standard Luminance levels in Table B-1.

Standard Target

A 2-deg x 2-deg square filled with a horizontal or vertical grating with sinusoidal modulation of 4 cycles per degree. The square is placed in a uniform background of a Luminance equal to the mean Luminance of the Target.

Note

The Standard Target is defined in terms of the subtended viewing angle, not in terms of the distance from the viewer to the target.

Threshold Modulation

The minimum Luminance modulation required by the average human observer to detect the Standard Target at a given mean Luminance level. The Threshold Modulation corresponds to the Just-Noticeable Difference in Luminance of the Standard Target.

4 Symbols and Abbreviations

The following symbols and abbreviations are used in PS3.14.

ACR

American College of Radiology

ANSI

American National Standards Institute

CEN TC251

Comite' Europeen de Normalisation - Technical Committee 251 - Medical Informatics

DICOM

Digital Imaging and Communications in Medicine

HL7

Health Level 7

IEEE

Institute of Electrical and Electronics Engineers

ISO

International Standards Organization

JIRA

Japan Medical Imaging and Radiological Systems Industries Association

NEMA

National Electrical Manufacturers Association

5 Conventions

The following conventions are used in PS3.14:

The terminology defined in Section 3 above is capitalized throughout PS3.14.

6 Overview

PS3.14 defines, mathematically, the Grayscale Standard Display Function of Standardized Display Systems. These systems may be printers producing hard-copies viewed on light-boxes or electronic Display Systems for soft-copies.

Hard-copies may consist of transmissive films as well as reflective prints. The image in these prints is represented by optical density variations in transmission or diffuse reflection. To an observer, every element of the image appears with a certain Luminance depending on the Illuminance and the optical density of the image element.

Soft-copies may be produced by emissive Display Systems (such as CRT monitors) or electronic light valves (such as light sources and liquid crystal displays).

For the purpose of PS3.14, Display Systems take a Digital Driving Level and produce Luminance or optical density variations that represent the image. Predictable application of image transformations, such as the modality, value-of-interest, and presentation look-up tables specified in the DICOM standard, requires knowledge of the Characteristic Curve of the Display System. Standardizing the response function expected of the Display System simplifies the application of such image transformations across several different Display Systems such as encountered in a network environment.

PS3.14 does not define when conformance with the Grayscale Standard Display Function is achieved or how to characterize the degree of conformance reached.

Note

A definition of conformance would require thorough evaluations of human visual system sensitivity to deviations of Display Functions from the Grayscale Standard Display Function for medical images.

Figure 6-1 and Figure 6-2 show the context for the Grayscale Standard Display Function. The Grayscale Standard Display Function is part of the image presentation. There will be a number of other modifications to the image before the Grayscale Standard Display Function is applied. The image acquisition device will adjust the image as it is formed. Other elements may perform a "window and level" to select a part of the dynamic range of the image to be presented. Yet other elements can adjust the selected dynamic range in preparation for display. The Presentation LUT outputs P-Values (presentation values). These P-Values become the Digital Driving Levels for Standardized Display Systems. The Grayscale Standard Display Function maps P-Values to the log-luminance output of the Standardized Display System. How a Standardized Display System performs this mapping is implementation dependent.

The boundary between the DICOM model of the image acquisition and presentation chain, and the Standardized Display System, expressed in P-Values, is intended to be both device independent and conceptually (if not actually) perceptually linear. In other words, regardless of the capabilities of the Standardized Display System, the same range of P-Values will be presented ìsimilarlyî.

The Grayscale Standard Display Function is an element of the image presentation after several modifications to the image have been completed by other elements of the image acquisition and presentation chain.

Figure 6-1. The Grayscale Standard Display Function is an element of the image presentation after several modifications to the image have been completed by other elements of the image acquisition and presentation chain.


The conceptual model of a Standardized Display System maps P-Values to Luminance via an intermediate transformation to Digital Driving Levels of an unstandardized Display System.

Figure 6-2. The conceptual model of a Standardized Display System maps P-Values to Luminance via an intermediate transformation to Digital Driving Levels of an unstandardized Display System.


The main objective of PS3.14 is to define mathematically an appropriate Grayscale Standard Display Function for all image presentation systems. The purpose of defining this Grayscale Standard Display Function is to allow applications to know a priorihow P-Values are transformed to viewed Luminance values by a Standardized Display System. In essence, defining the Grayscale Standard Display Function fixes the "units" for the P-Values output from the Presentation LUT and used as Digital Driving Levels to Standardized Display Systems.

A second objective of PS3.14 is to select a Display Function that provides some level of similarity in grayscale perception or basic appearance for a given image between Display Systems of different Luminance and that facilitates good use of the available Digital Driving Levels of a Display System. While many different functions could serve the primary objective, this Grayscale Standard Display Function was chosen to meet the second objective. With such a function, P-Values are approximately linearly related to human perceptual response. Similarity does not guarantee equal information content. Display Systems with a wider Luminance Range and/or higher Luminance will be capable of presenting more just-noticeable Luminance differences to an observer. Similarity also does not imply strict perceptual linearity, since perception is dependent on image content and on the viewer. In order to achieve strict perceptual linearity, applications would need to adjust the presentation of images to match user expectations through the other constructs defined in the DICOM Standard (e.g., VOI and Presentation LUT). Without a defined Display Function, such adjustments on the wide variety of Display Systems encountered on a network would be difficult.

The choice of the function is based on several ideas that are discussed further in Annex A.

Annex B contains the Grayscale Standard Display Function in tabular form.

Informative Annex C provides an example procedure for comparing mathematically the shape of the actual Display Function with the Grayscale Standard Display Function and for quantifying how well the actual discrete Luminance intervals match those of the Grayscale Standard Display Function.

Display Systems often will have Characteristic Curves different from the Grayscale Standard Display Function. These devices may contain means for incorporating externally defined transformations that make the devices conform with the Grayscale Standard Display Function. PS3.14 provides examples of test patterns for Display Systems with which their behavior can be measured and the approximation to the Grayscale Standard Display Function evaluated (see Informative Section D.1, Section D.2 and Section D.3).

7 The Grayscale Standard Display Function

As explained in greater detail in Annex A, the Grayscale Standard Display Function is based on human Contrast Sensitivity. Human Contrast Sensitivity is distinctly non-linear within the Luminance Range of the Grayscale Standard Display Function . The human eye is relatively less sensitive in the dark areas of an image than it is in the bright areas of an image. This variation in sensitivity makes it much easier to see small relative changes in Luminance in the bright areas of the image than in the dark areas of the image. A Display Function that adjusts the brightness such that equal changes in P-Values will result in the same level of perceptibility at all driving levels is "perceptually linearized". The Grayscale Standard Display Function incorporates the notion of perceptual linearization without making it an explicit objective of PS3.14.

The employed data for Contrast Sensitivity are derived from Barten's model of the human visual system (Ref. 1, 2 and Annex B). Specifically, the Grayscale Standard Display Function refers to Contrast Sensitivity for the Standard Target consisting of a 2-deg x 2-deg square filled with a horizontal or vertical grating with sinusoidal modulation of 4 cycles per degree. The square is placed in a uniform background of Luminance equal to the mean Luminance L of the Target. The Contrast Sensitivity is defined by the Threshold Modulation at which the grating becomes just visible to the average human observer. The Luminance modulation represents the Just-Noticeable Difference (JND) for the Target at the Luminance L.

Note

The academic nature of the Standard Target is recognized. With the simple target, the essential objectives of PS3.14 appear to be realizable. Only spurious results with more realistic targets in complex surroundings were known at the time of writing PS3.14 and these were not assessed.

The Grayscale Standard Display Function is defined for the Luminance Range from 0.05 to 4000 cd/m2. The minimum Luminance corresponds to the lowest practically useful Luminance of cathode-ray-tube (CRT) monitors and the maximum exceeds the unattenuated Luminance of very bright light-boxes used for interpreting X-Ray mammography. The Grayscale Standard Display Function explicitly includes the effects of the diffused ambient Illuminance.

Within the Luminance Range happen to fall 1023 JNDs (see Annex A).

7.1 General Formulas

The Grayscale Standard Display Function is defined by a mathematical interpolation of the 1023 Luminance levels derived from Barten's model. The Grayscale Standard Display Function allows us to calculate luminance, L, in candelas per square meter, as a function of the Just-Noticeable Difference (JND) Index, j:

Equation 7-1. 


with:

  • Ln referring to the natural logarithm

  • j the index (1 to 1023) of the Luminance levels Lj of the JNDs

  • a = -1.3011877

  • b = -2.5840191E-2

  • c = 8.0242636E-2

  • d = -1.0320229E-1

  • e = 1.3646699E-1

  • f = 2.8745620E-2

  • g = -2.5468404E-2

  • h = -3.1978977E-3

  • k = 1.2992634E-4

  • m = 1.3635334E-3

The logarithms to the base 10 of the Luminance Lj are very well interpolated by this function over the entire Luminance Range. The relative deviation of any log(Luminance) -value from the function is at most 0.3%, and the root-mean-square-error is 0.0003. The continuous representation of the Grayscale Standard Display Function permits a user to compute discrete JNDs for arbitrary start levels and over any desired Luminance Range.

Note

  1. To apply Equation 7-1 to a device with a specific range of L values, it is convenient to also have the inverse of this relationship, which is given by:

    Equation 7-2. 


    where:

    • Log10 represents logarithm to the base 10

    • A = 71.498068

    • B = 94.593053

    • C = 41.912053

    • D = 9.8247004

    • E = 0.28175407

    • F = -1.1878455

    • G = -0.18014349

    • H = 0.14710899

    • I = - 0.017046845

  2. When incorporating the formulas for L(j) and j(L) into a computer program, the use of double precision is recommended.

  3. Alternative methods may be used to calculate the JND Index values. One method is use a numerical algorithm such as the Van Vijngaarden-Dekker-Brent method described in Numerical Recipes in C(Cambridge University press, 1991). The value j may be calculated from L iteratively given the Grayscale Standard Display Function's formula for L(j). Another method would be to use the Grayscale Standard Display Function's tabulated values of j and L to calculate the j corresponding to an arbitrary L by linearly interpolating between the two nearest tabulated L,j pairs.

  4. No specification is intended as to how these formulas are implemented. These could be implemented dynamically, by executing the equation directly, or through discrete values, such as a LUT, etc.

Annex B lists the Luminance levels computed with this equation for the 1023 integer JND Indices and Figure 7-1 shows a plot of the Grayscale Standard Display Function. The exact value of the Luminance levels, of course, depends on the start level of 0.05 cd/m 2.

The Characteristic Curve of a Display System represents the Luminance produced by a Display System as a function of DDL and the effect of ambient Illuminance. The Characteristic Curve is measured with Standard Test Patterns (see Annex D). In general, the Display Function describes, for example,

  1. the Luminance (including ambient Illuminance) measured as a function of DDL for emissive displays such as a CRT-monitor/digital display controller system,

  2. the Luminance (including ambient Illuminance) as a function of DDL measured for a transmissive medium hung in front of a light-box after a printer produced an optical density, depending on DDL, on the medium,

  3. the Luminance (including ambient light) as a function of DDL measured for a diffusely reflective medium illuminated by a office lights after a printer produced a reflective density, depending on DDL, on the medium.

By internal or external means, the system may have been configured (or calibrated) such that the Characteristic Curve is consistent with the Grayscale Standard Display Function.

Some Display Systems adapt themselves to ambient light conditions. Such a system may conform to the Grayscale Standard Display Function for one level of ambient Illuminance only, unless it had the capability of adjusting its Display Function without user-intervention so that it remains in conformance with the Grayscale Standard Display Function.

7.2 Transmissive Hardcopy Printers

For transmissive hardcopy printing, the relationship between luminance, L, and the printed optical density, D, is:

Equation 7-3. 


where:

  • L0 is the luminance of the light box with no film present

  • La is the luminance contribution due to ambient illuminance reflected off the film

If film is to be printed with a density ranging from Dmin to Dmax, the final luminance will range between and and the j values will correspondingly range from jmin = j(Lmin) to jmax = j(Lmax).

If this span of j values is represented by an N-bit P-Value, ranging from 0 for jmin to 2N-1 for jmax, the j values will correspond to P-Values as follows:

Equation 7-4. 


and the corresponding L values will be L(j(p)).

Finally, converting the L(j(p)) values to densities results in:

Equation 7-5. 


Note

Typical values for the parameters used in transmissive hardcopy printing are L0 = 2000 cd/m2, La = 10 cd/m2.

7.3 Reflective Hardcopy Printers

For reflective hardcopy printing, the relationship between luminance, L, and the printed optical density, D, is:

Equation 7-6. 


where:

  • L0 is the maximum luminance obtainable from diffuse reflection of the illumination that is present.

If film is to be printed with a density ranging from Dmin to Dmax, the final luminance will range between and and the j values will correspondingly range from jmin = j(Lmin) to jmax = j(Lmax).

If this span of j values is represented by an N-bit P-Value, ranging from 0 for jmin to 2N-1 for jmax, the j values will correspond to P-Values as follows:

Equation 7-7. 


and the corresponding L values will be L(j(p)).

Finally, converting the L(j(p)) values to densities results in

Equation 7-8. 


Note

Typical values for the parameters used in reflective hardcopy printing are L0 = 150 cd/m2.

8 References

1) Barten, P.G.J., Physical model for the Contrast Sensitivity of the human eye. Proc. SPIE 1666, 57-72 (1992)

2) Barten, P.G.J., Spatio-temporal model for the Contrast Sensitivity of the human eye and its temporal aspects. Proc. SPIE 1913-01 (1993)

The Grayscale Standard Display Function presented as logarithm-of-Luminance versus JND-Index

Figure 7-1. The Grayscale Standard Display Function presented as logarithm-of-Luminance versus JND-Index


A Derivation of the Grayscale Standard Display Function (Informative)

A.1 Rationale For Selecting the Grayscale Standard Display Function

In choosing the Grayscale Standard Display Function, it was considered mandatory to have only one continuous, monotonically behaving mathematical function for the entire Luminance Range of interest. Correspondingly, for simplicity of implementing the Grayscale Standard Display Function, it was felt to be useful to define it by only one table of data pairs. As a secondary objective, it was considered desirable that the Grayscale Standard Display Function provide similarity in grayscale rendition on Display Systems of different Luminance Range and that good use of the available DDLs of a Display System was facilitated.

Perceptual linearization was thought to be a useful concept for arriving at a Grayscale Standard Display Function for meeting the above secondary objectives; however, it is not considered an objective by itself. Apart from the fact that is probably an elusive goal to perceptually linearize all types of medical images under various viewing conditions by one mathematical function, medical images are mostly presented by application-specific Display Functions that assign contrast non-uniformly according to clinical needs.

Intuitively, one would assume that perceptually linearized images on different Display Systems will be judged to be similar. To achieve perceptual linearization, a model of the human visual system response was required and the Barten model [A1] was chosen.

Early experiments showed that an appealing degree of contrast equalization and similarity could be obtained with a Display Function derived from Barten's model of human visual system response. The employed images were square patterns, the SMPTE pattern, and the Briggs' pattern [A2].

It was wished to relate DDLs of a Display System to some perceptually linear scale, primarily, to gain efficient utilization of the available input levels. If digitization levels lead to luminance or optical density levels that are perceptually indistinguishable, they are wasted. If they are too far apart, the observer may see contours. Hence, the concept of perceptual linearization was retained, not as a goal for the Grayscale Standard Display Function, but to obtain a concept for a measure of how well these objectives have been met.

Perceptual linearization is realizable, in a strict sense, only for rather simple images like square patterns or gratings in a uniform surrounding. Nevertheless, the concept of a perceptually linearized Display Function derived from experiments with simple test patterns has been successfully applied to complex images as described in the literature [A3-A8]. While it was clearly recognized that perceptual linearization can never be achieved for all details or spatial frequencies and object sizes at once, perceptual linearization for frequencies and object sizes near the peak of human Contrast Sensitivity seemed to do a ìreasonable jobî also in complex images.

Limited (unpublished) experiments have indicated that perceptual linearization for a particular detail in a complex image with a wide Luminance Range and heterogeneous surround required Display Functions that are rather strongly bent in the dark regions of the image and that such Display Functions for a low-luminance and a high-luminance display system would not be part of a continuous, monotonic function. This experience may underly the considerations of the CIELab curve [A9] proposed by other standards groups.

Other experiments and observations with computed radiographs seemed to suggest that similarity could also be obtained between grayscale renditions on Display Systems of different Luminance when the same application-specific function is combined with log-linear Characteristic Curves of the Display Systems. Thus similarity, if not contrast equalization, could be gained by a straight, luminance-independent shape for the Display Function.

While it might have been equally sensible to choose the rather simple log-linear Display Function as a standard, this was not done for the following reason, among others.

For high-resolution Display Systems with high intrinsic video bandwidth, digitization resolution is limited to 8 or 10 bits because of technology and other constraints. The more a Grayscale Standard Display Function deviates from the Characteristic Curve of a Display System, the poorer the utilization of DDLs typically is from a perception point of view. The Characteristic Curve of CRT Display Systems has a convex curvature with respect to a log-linear straight line. It differs much less from Display Functions derived from human vision models and the concept of perceptual linearization than from a log-linear Display Function.

When using application-specific display processes that cause the resultant Display Function to deviate strongly from the Grayscale Standard Display Function, the function conceivably does not provide good similarity. In this case, other functions may yield better similarity.

In summary, a Display Function was derived from Barten's model of the human visual system to gain a single continuous mathematical function which in its curvature falls between a log-linear response and a Display Function that may yield perceptual linearization in complex scenery with a wide luminance range within the image. Other models of human contrast sensitivity may potentially provide a better function, but were not evaluated. The notion of perceptual linearization was chosen to meet the secondary objectives of the Grayscale Standard Display Function, but not as an explicit goal of the Grayscale Standard Display Function itself. It is recognized that better functions may exist to meet these objectives. It is believed that almost any single mathematically defined Standard Function will greatly improve image presentations on Display Systems in communication networks.

A.2 Details of the Barten Model

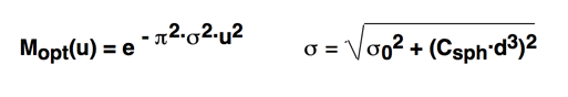
Barten's model considers neural noise, lateral inhibition, photon noise, external noise, limited integration capability, the optical modulation transfer function, orientation, and temporal filtering. Neuron noise represents the upper limit of Contrast Sensitivity at high spatial frequencies. Low spatial frequencies appear to be attenuated by lateral inhibition in the ganglion cells that seems to be caused by the subtraction of a spatially low-pass filtered signal from the original. Photon noise is defined by the fluctuations of the photon flux h, the pupil diameter d, and quantum detection efficiency η of the eye. At low light levels, the Contrast Sensitivity is proportional to the square-root of Luminance according to the de Vries-Rose law. The temporal integration capability in the model used here is simply represented by a time constant of T = 0.1 sec. Temporal filtering effects are not included. Next to the temporal integration capability, the eye also has limited spatial integration capability: There is a maximum angular size XE x YE as well as a maximum number of cycles NE over which the eye can integrate information in the presence of various noise sources. The optical modulation transfer function

Equation A-1. 


(u, spatial frequency in c/deg) is derived from a Gaussian point-spread function including the optical properties of the eye-lens, stray light from the optical media, diffusion in the retina, and the discrete nature of the receptor elements as well as from the spherical aberration, Csph, which is the main pupil-diameter-dependent component. σ0 is the value of σ at small pupil sizes. External noise may stem from Display System noise and image noise. Contrast sensitivity varies approximately sinusoidally with the orientation of the test pattern with equal maximum sensitivity at 0 and 90 deg and minimal sensitivity at 45 de.g., The difference in Contrast Sensitivity is only present at high spatial frequencies. The effect is modeled by a variation in integration capability.

The combination of these effects yields the equation for contrast as a function of spatial frequency:

Equation A-2. 


The effect of noise appears in the first parenthesis within the square-root as a noise contrast related to the variances of photon (first term), filtered neuron (second term), and external noise. The Illuminance, IL = π/4 d2L, of the eye is expressed in trolands [td], d is the pupil diameter in mm, and L the Luminance of the Target in cd/m2. The pupil diameter is determined by the formula of de Groot and Gebhard:

Equation A-3. 

d = 4.6 - 2.8 . tanh(0.4 . Log10(0.625 . L))


The term (1 - F(u))2 = 1 - exp(-u2/u0 2) describes the low frequency attenuation of neuron noise due to lateral inhibition (u0 = 8 c/deg). Equation A-2 represents the simplified case of square targets, X0 = Y0 [deg]. Φext is the contrast variance corresponding to external noise. k = 3.3, η = 0.025, h = 357.3600 photons/td sec deg2; the contrast variance corresponding to the neuron noise Φ0 = 3.10-8 sec deg2, XE = 12 deg, NE = 15 cycles (at 0 and 90 deg and NE = 7.5 cycles at 45 deg for frequencies above 2 c/deg), σ0 = 0.0133 deg, Csph = 0.0001 deg/mm3 [A1]. Equation A-2 provides a good fit of experimental data for 10-4 ≤ L ≤ 103 cd/m2, 0.5 ≤ X0 ≤ 60 deg, 0.2 ≤ u ≤ 50 c/deg.

After inserting all constants, Equation A-2 reduces to

Equation A-4. 


with q1 = 0.1183034375, q2 = 3.962774805 . 10-5, and q3 = 1.356243499 . 10-7.

When viewed from 250 mm distance, the Standard Target has a size of about 8.7 mm x 8.7 mm and the spatial frequency of the grid equals about 0.92 line pairs per millimeter.

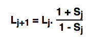
The Grayscale Standard Display Function is obtained by computing the Threshold Modulation Sj as a function of mean grating Luminance and then stacking these values on top of each other. The mean Luminance of the next higher level is calculated by adding the peak-to-peak modulation to the mean Luminance Lj of the previous level:

Equation A-5. 


Thus, in PS3.14, the peak-to-peak Threshold Modulation is called a just-noticeable Luminance difference.

When a Display System conforms with the Grayscale Standard Display Function, it is perceptually linearized when observing the Standard Target: If a Display System had infinitely fine digitization resolution, equal increments in P-Value would produce equally perceivable contrast steps and, under certain conditions, just-noticeable Luminance differences (displayed one at a time) for the Standard Target (the grating with sinusoidal modulation of 4 c/degree over a 2 degree x 2 degree area, embedded in a uniform background with a Luminance equal to the mean target Luminance).

The display of the Standard Target at different Luminance levels one at a time is an academic display situation. An image containing different Luminance levels with different targets and Luminance distributions at the same time is in general not perceptually linearized. It is once more emphasized that the concept of perceptual linearization of Display Systems for the Standard Target served as a logical means for deriving a continuous mathematical function and for meeting the secondary goals of the Grayscale Standard Display Function. The function may represent a compromise between perceptual linearization of complex images by strongly-bent Display Functions and gaining similarity of grayscale perception within an image on Display Systems of different Luminance by a log-linear Display Function.

The Characteristic Curve of the Display System is measured and represented by {Luminance, DDL}-pairs Lm = F(Dm). A discrete transformation may be performed that maps the previously used DDLs, Dinput, to Doutput according to Equations (A6) and (A7) such that the available ensemble of discrete Luminance levels is used to approximate the Grayscale Standard Display Function L = G(j). The transformation is illustrated in Fig. A1. By such an operation, conformance with the Grayscale Standard Display Function may be reached.

Equation A-6. 

Doutput = s . F-1[G(j)]


s is a scale factor for accommodating different input and output digitization resolutions.

The index j (which in general will be a non-integer number) of the Standard Luminance Levels is determined from the starting index j0 of the Standard Luminance level at the minimum Luminance of the Display System (including ambient light), the number of Standard JNDs, NJND, over the Luminance Range of the Display System, the digitization resolution DR, and the DDLs, Dinput, of the Display System:

Equation A-7. 

I = I0 + NJND / DR . Dinput


A detailed example for executing such a transformation is given in Annex D.

A.3 References

[A1] P.G.J. Barten: Physical model for the Contrast Sensitivity of the human eye. Proc. SPIE 1666 , 57-72 (1992) and Spatio-temporal model for the Contrast Sensitivity of the human eye and its temporal aspects. Proc. SPIE 1913 -01 (1993)

[A2] S.J. Briggs: Digital test target for display evaluation .Proc. SPIE 253 , 237-246 (1980)

[A3] S.J. Briggs: Photometric technique for deriving a "best gamma" for displays .Proc. SPIE 199 , Paper 26 (1979) and Opt. Eng. 20, 651-657 (1981)

[A4] S.M. Pizer: Intensity mappings: linearization, image-based, user-controlled .Proc. SPIE 271 , 21-27 (1981)

[A5] S.M. Pizer: Intensity mappings to linearize display devices .Comp. Graph. Image. Proc. 17 , 262-268 (1981)

[A6] R.E. Johnston, J.B. Zimmerman, D.C. Rogers, and S.M. Pizer: Perceptual standardization .Proc. SPIE 536 , 44-49 (1985)

[A7] R.C. Cromartie, R.E. Johnston, S.M. Pizer, D.C. Rogers: Standardization of electronic display devices based on human perception .University of North Carolina at Chapel Hill, Technical Report 88-002, Dec. 1987

[A8] B. M. Hemminger, R.E. Johnston, J.P. Rolland, K.E. Muller: Perceptual linearization of video display monitors for medical image presentation .Proc. SPIE 2164 , 222-241 (1994)

[A9] CIE 1976

Illustration for determining the transform that changes the Characteristic Curve of a Display System to a Display Function that approximates the Grayscale Standard Display Function

Figure A-1. Illustration for determining the transform that changes the Characteristic Curve of a Display System to a Display Function that approximates the Grayscale Standard Display Function


B Table of the Grayscale Standard Display Function (Informative)

The Grayscale Standard Display Function based on the Barten model was introduced in Section 7 and details are presented in Annex A above. This annex presents the Grayscale Standard Display Function as a table of values for Luminance as a function of the Just-Noticeable Difference Index for integer values of the Just-Noticeable Difference Index.

Table B-1. Grayscale Standard Display Function: Luminance versus JND Index

JND

L[cd/m 2]

JND

L[cd/m 2]

JND

L[cd/m 2]

JND

L[cd/m 2]

1

0.0500

2

0.0547

3

0.0594

4

0.0643

5

0.0696

6

0.0750

7

0.0807

8

0.0866

9

0.0927

10

0.0991

11

0.1056

12

0.1124

13

0.1194

14

0.1267

15

0.1342

16

0.1419

17

0.1498

18

0.1580

19

0.1664

20

0.1750

21

0.1839

22

0.1931

23

0.2025

24

0.2121

25

0.2220

26

0.2321

27

0.2425

28

0.2532

29

0.2641

30

0.2752

31

0.2867

32

0.2984

33

0.3104

34

0.3226

35

0.3351

36

0.3479

37

0.3610

38

0.3744

39

0.3880

40

0.4019

41

0.4161

42

0.4306

43

0.4454

44

0.4605

45

0.4759

46

0.4916

47

0.5076

48

0.5239

49

0.5405

50

0.5574

51

0.5746

52

0.5921

53

0.6100

54

0.6281

55

0.6466

56

0.6654

57

0.6846

58

0.7040

59

0.7238

60

0.7440

61

0.7644

62

0.7852

63

0.8064

64

0.8278

65

0.8497

66

0.8718

67

0.8944

68

0.9172

69

0.9405

70

0.9640

71

0.9880

72

1.0123

73

1.0370

74

1.0620

75

1.0874

76

1.1132

77

1.1394

78

1.1659

79

1.1928

80

1.2201

81

1.2478

82

1.2759

83

1.3044

84

1.3332

85

1.3625

86

1.3921

87

1.4222

88

1.4527

89

1.4835

90

1.5148

91

1.5465

92

1.5786

93

1.6111

94

1.6441

95

1.6775

96

1.7113

97

1.7455

98

1.7802

99

1.8153

100

1.8508

101

1.8868

102

1.9233

103

1.9601

104

1.9975

105

2.0352

106

2.0735

107

2.1122

108

2.1514

109

2.1910

110

2.2311

111

2.2717

112

2.3127

113

2.3543

114

2.3963

115

2.4388

116

2.4817

117

2.5252

118

2.5692

119

2.6137

120

2.6587

121

2.7041

122

2.7501

123

2.7966

124

2.8436

125

2.8912

126

2.9392

127

2.9878

128

3.0369

129

3.0866

130

3.1367

131

3.1875

132

3.2387

133

3.2905

134

3.3429

135

3.3958

136

3.4493

137

3.5033

138

3.5579

139

3.6131

140

3.6688

141

3.7252

142

3.7820

143

3.8395

144

3.8976

145

3.9563

146

4.0155

147

4.0754

148

4.1358

149

4.1969

150

4.2586

151

4.3209

152

4.3838

153

4.4473

154

4.5115

155

4.5763

156

4.6417

157

4.7078

158

4.7745

159

4.8419

160

4.9099

161

4.9785

162

5.0479

163

5.1179

164

5.1886

165

5.2599

166

5.3319

167

5.4046

168

5.4780

169

5.5521

170

5.6269

171

5.7024

172

5.7786

173

5.8555

174

5.9331

175

6.0114

176

6.0905

177

6.1702

178

6.2508

179

6.3320

180

6.4140

181

6.4968

182

6.5803

183

6.6645

184

6.7496

185

6.8354

186

6.9219

187

7.0093

188

7.0974

189

7.1863

190

7.2760

191

7.3665

192

7.4578

193

7.5500

194

7.6429

195

7.7366

196

7.8312

197

7.9266

198

8.0229

199

8.1199

200

8.2179

201

8.3167

202

8.4163

203

8.5168

204

8.6182

205

8.7204

206

8.8235

207

8.9275

208

9.0324

209

9.1382

210

9.2449

211

9.3525

212

9.4611

213

9.5705

214

9.6809

215

9.7922

216

9.9044

217

10.0176

218

10.1318

219

10.2469

220

10.3629

221

10.4800

222

10.5980

223

10.7169

224

10.8369

225

10.9579

226

11.0799

227

11.2028

228

11.3268

229

11.4518

230

11.5779

231

11.7050

232

11.8331

233

11.9622

234

12.0925

235

12.2237

236

12.3561

237

12.4895

238

12.6240

239

12.7596

240

12.8963

241

13.0341

242

13.1730

243

13.3130

244

13.4542

245

13.5965

246

13.7399

247

13.8844

248

14.0302

249

14.1770

250

14.3251

251

14.4743

252

14.6247

253

14.7763

254

14.9291

255

15.0831

256

15.2384

257

15.3948

258

15.5525

259

15.7114

260

15.8716

261

16.0330

262

16.1957

263

16.3596

264

16.5249

265

16.6914

266

16.8592

267

17.0283

268

17.1987

269

17.3705

270

17.5436

271

17.7180

272

17.8938

273

18.0709

274

18.2494

275

18.4293

276

18.6105

277

18.7931

278

18.9772

279

19.1626

280

19.3495

281

19.5378

282

19.7275

283

19.9187

284

20.1113

285

20.3054

286

20.5009

287

20.6980

288

20.8965

289

21.0966

290

21.2981

291

21.5012

292

21.7058

293

21.9120

294

22.1197

295

22.3289

296

22.5398

297

22.7522

298

22.9662

299

23.1818

300

23.3990

301

23.6179

302

23.8383

303

24.0605

304

24.2842

305

24.5097

306

24.7368

307

24.9656

308

25.1961

309

25.4283

310

25.6622

311

25.8979

312

26.1353

313

26.3744

314

26.6153

315

26.8580

316

27.1025

317

27.3488

318

27.5969

319

27.8468

320

28.0985

321

28.3521

322

28.6075

323

28.8648

324

29.1240

325

29.3851

326

29.6481

327

29.9130

328

30.1798

329

30.4486

330

30.7193

331

30.9920

332

31.2667

333

31.5434

334

31.8220

335

32.1027

336

32.3854

337

32.6702

338

32.9570

339

33.2459

340

33.5369

341

33.8300

342

34.1251

343

34.4224

344

34.7219

345

35.0235

346

35.3272

347

35.6332

348

35.9413

349

36.2516

350

36.5642

351

36.8790

352

37.1960

353

37.5153

354

37.8369

355

38.1608

356

38.4870

357

38.8155

358

39.1463

359

39.4795

360

39.8151

361

40.1530

362

40.4933

363

40.8361

364

41.1813

365

41.5289

366

41.8790

367

42.2316

368

42.5866

369

42.9442

370

43.3043

371

43.6669

372

44.0321

373

44.3998

374

44.7702

375

45.1431

376

45.5187

377

45.8969

378

46.2778

379

46.6613

380

47.0475

381

47.4365

382

47.8281

383

48.2225

384

48.6197

385

49.0196

386

49.4224

387

49.8279

388

50.2363

389

50.6475

390

51.0616

391

51.4786

392

51.8985

393

52.3213

394

52.7470

395

53.1757

396

53.6074

397

54.0421

398

54.4798

399

54.9205

400

55.3643

401

55.8112

402

56.2611

403

56.7142

404

57.1704

405

57.6298

406

58.0923

407

58.5581

408

59.0270

409

59.4992

410

59.9747

411

60.4534

412

60.9354

413

61.4208

414

61.9094

415

62.4015

416

62.8969

417

63.3958

418

63.8980

419

64.4037

420

64.9129

421

65.4256

422

65.9418

423

66.4615

424

66.9848

425

67.5117

426

68.0422

427

68.5763

428

69.1140

429

69.6555

430

70.2006

431

70.7495

432

71.3021

433

71.8585

434

72.4187

435

72.9827

436

73.5505

437

74.1222

438

74.6978

439

75.2773

440

75.8608

441

76.4482

442

77.0396

443

77.6351

444

78.2346

445

78.8381

446

79.4458

447

80.0576

448

80.6735

449

81.2936

450

81.9179

451

82.5464

452

83.1792

453

83.8163

454

84.4577

455

85.1034

456

85.7535

457

86.4079

458

87.0668

459

87.7302

460

88.3980

461

89.0703

462

89.7472

463

90.4286

464

91.1147

465

91.8053

466

92.5006

467

93.2006

468

93.9053

469

94.6147

470

95.3289

471

96.0480

472

96.7718

473

97.5005

474

98.2341

475

98.9726

476

99.7161

477

100.4646

478

101.2181

479

101.9767

480

102.7403

481

103.5091

482

104.2830

483

105.0621

484

105.8464

485

106.6359

486

107.4308

487

108.2309

488

109.0364

489

109.8473

490

110.6637

491

111.4854

492

112.3127

493

113.1455

494

113.9838

495

114.8278

496

115.6773

497

116.5326

498

117.3935

499

118.2602

500

119.1326

501

120.0109

502

120.8950

503

121.7850

504

122.6809

505

123.5828

506

124.4907

507

125.4047

508

126.3247

509

127.2508

510

128.1831

511

129.1215

512

130.0662

513

131.0172

514

131.9745

515

132.9381

516

133.9082

517

134.8847

518

135.8676

519

136.8571

520

137.8531

521

138.8557

522

139.8650

523

140.8810

524

141.9037

525

142.9331

526

143.9694

527

145.0125

528

146.0625

529

147.1195

530

148.1835

531

149.2545

532

150.3326

533

151.4178

534

152.5101

535

153.6097

536

154.7166

537

155.8307

538

156.9523

539

158.0812

540

159.2175

541

160.3614

542

161.5128

543

162.6718

544

163.8384

545

165.0128

546

166.1948

547

167.3847

548

168.5824

549

169.7880

550

171.0015

551

172.2230

552

173.4526

553

174.6902

554

175.9360

555

177.1900

556

178.4522

557

179.7227

558

181.0016

559

182.2889

560

183.5846

561

184.8889

562

186.2017

563

187.5232

564

188.8533

565

190.1921

566

191.5398

567

192.8963

568

194.2617

569

195.6360

570

197.0194

571

198.4119

572

199.8134

573

201.2242

574

202.6442

575

204.0735

576

205.5122

577

206.9603

578

208.4179

579

209.8851

580

211.3618

581

212.8482

582

214.3444

583

215.8503

584

217.3661

585

218.8919

586

220.4276

587

221.9733

588

223.5292

589

225.0952

590

226.6715

591

228.2581

592

229.8550

593

231.4624

594

233.0803

595

234.7088

596

236.3479

597

237.9977

598

239.6583

599

241.3297

600

243.0120

601

244.7054

602

246.4097

603

248.1252

604

249.8519

605

251.5899

606

253.3392

607

255.0999

608

256.8721

609

258.6559

610

260.4512

611

262.2583

612

264.0772

613

265.9079

614

267.7506

615

269.6052

616

271.4720

617

273.3509

618

275.2420

619

277.1455

620

279.0614

621

280.9897

622

282.9306

623

284.8841

624

286.8504

625

288.8294

626

290.8213

627

292.8262

628

294.8442

629

296.8752

630

298.9195

631

300.9770

632

303.0480

633

305.1324

634

307.2304

635

309.3420

636

311.4673

637

313.6065

638

315.7595

639

317.9266

640

320.1077

641

322.3030

642

324.5126

643

326.7365

644

328.9749

645

331.2278

646

333.4953

647

335.7776

648

338.0747

649

340.3867

650

342.7137

651

345.0558

652

347.4131

653

349.7858

654

352.1738

655

354.5773

656

356.9964

657

359.4312

658

361.8818

659

364.3483

660

366.8308

661

369.3294

662

371.8442

663

374.3754

664

376.9229

665

379.4869

666

382.0676

667

384.6650

668

387.2793

669

389.9105

670

392.5587

671

395.2241

672

397.9068

673

400.6069

674

403.3245

675

406.0596

676

408.8125

677

411.5833

678

414.3719

679

417.1787

680

420.0036

681

422.8468

682

425.7085

683

428.5886

684

431.4875

685

434.4051

686

437.3415

687

440.2970

688

443.2717

689

446.2655

690

449.2788

691

452.3116

692

455.3640

693

458.4361

694

461.5282

695

464.6402

696

467.7724

697

470.9249

698

474.0977

699

477.2911

700

480.5052

701

483.7400

702

486.9958

703

490.2726

704

493.5706

705

496.8900

706

500.2308

707

503.5932

708

506.9774

709

510.3835

710

513.8116

711

517.2619

712

520.7344

713

524.2294

714

527.7471

715

531.2874

716

534.8507

717

538.4370

718

542.0465

719

545.6793

720

549.3356

721

553.0155

722

556.7192

723

560.4469

724

564.1986

725

567.9746

726

571.7750

727

575.6000

728

579.4497

729

583.3242

730

587.2238

731

591.1486

732

595.0988

733

599.0744

734

603.0758

735

607.1030

736

611.1563

737

615.2357

738

619.3415

739

623.4738

740

627.6328

741

631.8187

742

636.0316

743

640.2717

744

644.5392

745

648.8343

746

653.1571

747

657.5079

748

661.8867

749

666.2939

750

670.7295

751

675.1937

752

679.6868

753

684.2089

754

688.7602

755

693.3409

756

697.9512

757

702.5913

758

707.2613

759

711.9615

760

716.6921

761

721.4531

762

726.2450

763

731.0678

764

735.9217

765

740.8070

766

745.7238

767

750.6723

768

755.6529

769

760.6655

770

765.7106

771

770.7882

772

775.8986

773

781.0420

774

786.2187

775

791.4287

776

796.6724

777

801.9500

778

807.2616

779

812.6075

780

817.9880

781

823.4031

782

828.8533

783

834.3386

784

839.8594

785

845.4158

786

851.0081

787

856.6365

788

862.3012

789

868.0025

790

873.7407

791

879.5158

792

885.3283

793

891.1783

794

897.0661

795

902.9919

796

908.9559

797

914.9585

798

920.9998

799

927.0801

800

933.1997

801

939.3588

802

945.5577

803

951.7966

804

958.0758

805

964.3956

806

970.7561

807

977.1578

808

983.6008

809

990.0853

810

996.6118

811

1003.1800

812

1009.7910

813

1016.4450

814

1023.1420

815

1029.8820

816

1036.6650

817

1043.4930

818

1050.3640

819

1057.2800

820

1064.2400

821

1071.2460

822

1078.2960

823

1085.3920

824

1092.5340

825

1099.7220

826

1106.9570

827

1114.2380

828

1121.5670

829

1128.9420

830

1136.3660

831

1143.8370

832

1151.3570

833

1158.9250

834

1166.5420

835

1174.2080

836

1181.9240

837

1189.6890

838

1197.5050

839

1205.3710

840

1213.2890

841

1221.2570

842

1229.2770

843

1237.3480

844

1245.4720

845

1253.6480

846

1261.8770

847

1270.1600

848

1278.4950

849

1286.8850

850

1295.3290

851

1303.8270

852

1312.3810

853

1320.9900

854

1329.6540

855

1338.3740

856

1347.1510

857

1355.9840

858

1364.8750

859

1373.8230

860

1382.8290

861

1391.8930

862

1401.0160

863

1410.1970

864

1419.4380

865

1428.7390

866

1438.1000

867

1447.5220

868

1457.0040

869

1466.5480

870

1476.1530

871

1485.8210

872

1495.5510

873

1505.3440

874

1515.2010

875

1525.1210

876

1535.1050

877

1545.1540

878

1555.2680

879

1565.4470

880

1575.6930

881

1586.0040

882

1596.3820

883

1606.8280

884

1617.3410

885

1627.9220

886

1638.5710

887

1649.2900

888

1660.0780

889

1670.9350

890

1681.8630

891

1692.8620

892

1703.9310

893

1715.0730

894

1726.2860

895

1737.5730

896

1748.9320

897

1760.3650

898

1771.8720

899

1783.4530

900

1795.1090

901

1806.8410

902

1818.6490

903

1830.5330

904

1842.4940

905

1854.5330

906

1866.6500

907

1878.8450

908

1891.1190

909

1903.4730

910

1915.9060

911

1928.4200

912

1941.0160

913

1953.6930

914

1966.4520

915

1979.2940

916

1992.2190

917

2005.2270

918

2018.3200

919

2031.4980

920

2044.7620

921

2058.1110

922

2071.5470

923

2085.0700

924

2098.6800

925

2112.3790

926

2126.1670

927

2140.0440

928

2154.0110

929

2168.0690

930

2182.2170

931

2196.4580

932

2210.7910

933

2225.2170

934

2239.7360

935

2254.3500

936

2269.0580

937

2283.8620

938

2298.7620

939

2313.7590

940

2328.8530

941

2344.0450

942

2359.3350

943

2374.7250

944

2390.2140

945

2405.8040

946

2421.4960

947

2437.2890

948

2453.1850

949

2469.1840

950

2485.2860

951

2501.4940

952

2517.8060

953

2534.2250

954

2550.7500

955

2567.3820

956

2584.1230

957

2600.9720

958

2617.9310

959

2634.9990

960

2652.1790

961

2669.4710

962

2686.8740

963

2704.3910

964

2722.0220

965

2739.7670

966

2757.6270

967

2775.6040

968

2793.6970

969

2811.9080

970

2830.2380

971

2848.6870

972

2867.2550

973

2885.9440

974

2904.7550

975

2923.6880

976

2942.7450

977

2961.9250

978

2981.2300

979

3000.6600

980

3020.2170

981

3039.9020

982

3059.7140

983

3079.6550

984

3099.7260

985

3119.9270

986

3140.2600

987

3160.7260

988

3181.3240

989

3202.0570

990

3222.9240

991

3243.9280

992

3265.0680

993

3286.3460

994

3307.7620

995

3329.3180

996

3351.0140

997

3372.8520

998

3394.8310

999

3416.9540

1000

3439.2210

1001

3461.6330

1002

3484.1910

1003

3506.8970

1004

3529.7500

1005

3552.7520

1006

3575.9030

1007

3599.2060

1008

3622.6610

1009

3646.2680

1010

3670.0300

1011

3693.9460

1012

3718.0180

1013

3742.2480

1014

3766.6350

1015

3791.1810

1016

3815.8880

1017

3840.7550

1018

3865.7850

1019

3890.9780

1020

3916.3350

1021

3941.8580

1022

3967.5470

1023

3993.4040


C Measuring the Accuracy With Which a Display System Matches the Grayscale Standard Display Function (Informative)

C.1 General Considerations Regarding Conformance and Metrics

To demonstrate conformance with the Grayscale Standard Display Function is a much more complex task than, for example, validating the responses of a totally digital system to DICOM messages.

Display systems ultimately produce analog output, either directly as Luminances or indirectly as optical densities. For some Display Systems, this analog output can be affected by various imperfections in addition to whatever imperfections exist in the Display System's Display Function that is to be validated. For example, there may be spatial non-uniformities in the final presented image (e.g., arising from film, printing, or processing non-uniformities in the case of a hardcopy printer) that are measurable but are at low spatial frequencies that do not ordinarily pose an image quality problem in diagnostic radiology.

It is worth noting that CRTs and light-boxes also introduce their own spatial non-uniformities. These non-uniformities are outside the scope of the Grayscale Standard Display Function and the measurement procedures described here. But because of them, even a test image that is perfectly presented in terms of the Grayscale Standard Display Function will be less than perfectly perceived on a real CRT or a real light-box.

Furthermore, the question "How close (to the Grayscale Standard Display Function) is close enough?" is currently unanswered, since the answer depends on psychophysical studies not yet done to determine what difference in Display Function is "just noticeable" when two nearly identical image presentations (e.g., two nearly identical films placed on equivalent side-by-side light-boxes) are presented to an observer.

Furthermore, the evaluation of a given Display System could be based either on visual tests (e.g., assessing the perceived contrast of many low-contrast targets in one or more test images) or by quantitative analysis based on measured data obtained from instruments (e.g., photometers or densitometers).

Even the quantitative approach could be addressed in different ways. One could, for example, simply superimpose plots of measured and theoretical analog output (i.e., Luminance or optical density) vs. P-Value, perhaps along with "error bars" indicating the expected uncertainty (non-repeatable variations) in the measured output. As a mathematically more elegant alternative, all the measured data points could be used as input to a statistical mathematical analysis that could attempt to determine the underlying Display Function of the Display System, yielding one or more quantitative values (metrics) that define how well the Display System conforms with the Grayscale Standard Display Function.

In what follows in this and the following annexes, an example of the latter type of metric analysis is used, in which measured data is analyzed using a "FIT" test that is intended to validate the shape of the Characteristic Curve and a "LUM" test that is intended to show the degree of scatter from the ideal Grayscale Standard Display Function. This approach has been applied, for example, to quantitatively demonstrate how improvements were successfully made to the Display Function of certain Display Systems.

Before proceeding with the description of the methodology of this specific metric approach, it should be noted that it is offered as one possible approach, not necessarily as the most appropriate approach for evaluating all Display Systems. In particular, the following notes should be considered before selecting or interpreting results from any particular metric approach.

  1. There may be practical issues that limit the number of P-Values that can be meaningfully used in the analysis. For example, it may be practical to measure all 256 possible Luminances from a fixed position on the screen of an 8-bit video monitor, but it may be impractical to meaningfully measure all 4096 densities theoretically printable by a 12-bit film printer. One reason for the impracticality is the limited accuracy of densitometers (or even film digitizers). A second reason is that the film density measurements, unlike the CRT photometer measurements, are obtained from different locations on the display area, so any spatial non-uniformity that is present in the film affects the hardcopy measurement. Current hardcopy printers and densitometers both have absolute optical density accuracy limitations that are significantly worse than the change that would be caused by a change in just the least significant bit of a 12-bit P-Value. In general, selecting a larger number of P-Values allows, in principle, more localized aberrations from the Grayscale Standard Display Function to be "caught", but the signal-to-noise ratio (or significance) of each of these will be decreased.

  2. If the measurement data for a particular Display System has significant "noise" (as indicated by limited repeatability in the data when multiple sets of measurements are taken), it may be desirable to apply a statistical analysis technique that goes beyond the "FIT" and "LUM" metric by explicitly utilizing the known standard deviations in the input data set, along with the data itself, to prevent the fitting technique from over-reacting to noise. See, for example, the section "General Linear Least Squares" in Reference C1 and the chapter "Least-Squares Fit to a Polynomial" in Reference C2. If measurement noise is not explicitly taken into account in the analysis, the metric's returned root-mean-square error of the data points relative to the fit could be misleadingly high, since it would include the combined effect of errors due to incorrectness in the Display Function and errors due to measurement noise.

  3. If possible, the sensitivity and specificity of the metric being considered should be checked against visual tests. For example, a digital test pattern with many low-contrast steps at many ambient Luminances could be printed on a "laboratory standard" Grayscale Standard Display Function printer and also printed on a printer being evaluated. The resultant films could then be placed side-by-side on light-boxes for comparison by a human observer. A good metric technique should detect as sensitively and repeatably as the human observer the existence of deviations (of any shape) from the Grayscale Standard Display Function. For example, if a Display System has a Characteristic Curve that, for even a very short interval of DDL values, is too contrasty, too flat, or (worse yet) non-monotonic, the metric should be able to detect and respond to that anomaly as strongly as the human observer does.

  4. Finally, in addition to the experimentally encountered non-repeatabilities in the data from a Display System, there may be reason to consider additional possible causes of variations. For example, varying the ordering of P-Values in a test pattern (temporally for CRTs, spatially for printers) might affect the results. For printers, switching to different media might affect the results. A higher confidence can be placed in the results obtained from any metric if the results are stable in the presence of any or all such changes.

C.2 Methodology

Step (1)

The Characteristic Curve of the test Display System should be determined with as many measurements as practical (see Section D.1, Section D.2, and Section D.3). Using the Grayscale Standard Display Function, the fractional number of JNDs are calculated for each Luminance interval between equally spaced P-Value steps. The JNDs/Luminance interval may be calculated directly, or iteratively. For example, if only a few JNDs belong to every Luminance interval, a linear interpolation may be performed. After transformation of the grayscale response of the Display System, the Luminance Levels for every P-Value are Li and the corresponding Standard Luminance Levels are Lj; dj specifies the JNDs /Luminance-Interval on the Grayscale Standard Display Function for the given number of P-Values. Then, the JNDs/Luminance interval for the transformed Display Function are

Equation C-1. 

r = dj(Li+1 - Li)(Lj+1 + Lj) / ((Li+1 + Li)(Lj+1 - Lj))


Additionally, an iterative method can be used to calculate the number of JNDs per Luminance interval, requiring only the Grayscale Standard Display Function that defines a JND step in Luminance given a Luminance value. This is done by simply counting the number of complete JND steps in the Luminance interval, and then the remaining fractional step. Start at the Luminance low end of the interval, and calculate from the Grayscale Standard Display Function the Luminance step required for one JND step. Then continue stepping from the low Luminance value to the high Luminance value in single JND steps, until the Luminance value of the upper end of the Luminance Range is passed. Calculate the fraction portion of one JND that this last step represents. the total number of completed integer JND steps plus the fractional portion of the last uncompleted step is the fractional number of JND steps in the Luminance interval.

Plot the number of JNDs per Luminance interval (vertical axis) versus the index of the Luminance interval (horizontal axis). This curve is referred to as the Luminance intervals vs JNDscurve. An example of a plot of Luminance intervals vs JNDs is shown in figure C-1. The plot is matched very well by a horizontal line when a linear regression is applied.

Illustration for the LUM and FIT conformance measures

Figure C-1. Illustration for the LUM and FIT conformance measures


The JNDs/Luminance interval data are evaluated by two statistical measures [C4]. The first assesses the global match of the test Display Function with the Grayscale Standard Display Function. The second measure locally analyses the approximation of the Grayscale Standard Display Function to the test Display Function.

Step (2)

Two related measures of a regression analysis are applied after normal multiple linear regression assumptions are verified for the data [C3].The first measure, named the FITtest, attempts to match the Luminance-Intervals-vs-JNDs curve of the test Luminance distribution with different order polynomial fits. The Grayscale Standard Display Function is characterized by exactly one JND per Luminance interval over the entire Luminance Range. Therefore, ideally, the data of JNDs/Luminance intervals vs index of the Luminance interval are best fit by a horizontal line of a constant number of JNDs/Luminance interval, indicating that both the local and global means of JNDs/Luminance interval are constant over the given Luminance Range. If the curve is better matched by a higher-order curve, the distribution is not closely approximating the Grayscale Standard Display Function. The regression analysis should test comparisons through third-order curves.

The second measure, the Luminance uniformity metric (LUM), analyzes whether the size of Luminance steps are uniform in perceptual size (i.e., JNDs) across the Luminance Range. This is measured by the Root Mean Square Error (RMSE) of the curve fit by a horizontal line of the JNDs/Luminance interval. The smaller the RMSE of the JNDs/Luminance interval, the more closely the test Display Function approximates the Grayscale Standard Display Function on a microscopic scale.

Both the FIT and LUM measures can be conveniently calculated on standard statistical packages.

Assuming the test Luminance distribution passes the FIT test, then the measure of quality of the distribution is determined by the single quantitative measurement (LUM) of the standard deviation of the JNDs/Luminance interval from their mean. Clinical practice is expected to determine the tolerances for the FIT and LUM values.

An important factor in reaching a close approximation of a test Display Function to the Grayscale Standard Display Function is the number of discrete output levels of the Display System. For instance, the LUM measure can be improved by using only a subset of the available DDLs while maintaining the full available output digitization resolution at the cost of decreasing contrast resolution.

While the LUM is influenced by the choice of the number of discrete output gray levels in the Grayscale Standard Display Function, the appropriate number of output levels is determined by the clinical application, including possible gray scale image processing that may occur independently of the Grayscale Standard Display Function standardization. Thus, PS3.14 does not prescribe a certain number of gray levels of output. However, in general, the larger the number of distinguishable gray levels available, the higher the possible image quality because the contrast resolution is increased. It is recommended that the number of necessary output driving levels for the transformed Display Function be determined prior to standardization of the Display System (based on clinical applications of the Display System), so that this information can be used when calculating the transformation in order to avoid using gray scale distributions with fewer output levels than needed.

C.3 References

[C1] Press, William H, et al., Numerical Recipes in C, Cambridge University Press, 1988, Section "General Linear Least Squares"

[C2] Bevington, Phillip R., Data Reduction and Error Analysis for the Physical Sciences, McGraw-Hill, 1969, the chapter "Least-Squares Fit to a Polynomial" .

[C3] Kleinbaum DG, Kupper LL, Muller KE, Applied Regression Analysis and Other Multivariable Methods, Duxbury Press, 2nd Edition, pp 45-49, 1987.

[C4] Hemminger, B., Muller, K., "Performance Metric for evaluating conformance of medical image displays with the ACR/NEMA display function standard", SPIE Medical Imaging 1997, editor Yongmin Kim, vol 3031-25, 1997.

D Illustrations for Achieving Conformance with the Grayscale Standard Display Function (Informative)

The following sections illustrate how conformance with the Grayscale Standard Display Function may be achieved for emissive (soft-copy) Display Systems as well as systems producing image presentations (hard-copies) on transmissive and reflective media. Each section contains four sub-sections on 1) a procedure for measuring the system Characteristic Curve, 2) the application of the Grayscale Standard Display Function to the Luminance Range of the Display System, 3) the implementation of the Grayscale Standard Display Function, and 4) the application of the conformance metrics as proposed in Annex C.

It is emphasized that there are different ways to configure a Display System or to change its performance so that it conforms to the Grayscale Standard Display Function. In fact, conceivably, a Display System may calibrate itself automatically to maintain conformance with the Standard. Hence, the following three illustrations are truly only examples.

Luminance of any Display System, hard-copy or softcopy, may be measured with a photometer. The photometer should have the following characteristics:

  • be accurate to within 3% or less of the absolute Luminance level across its full range of operation;

  • have a relative accuracy of at least two times the least significant digit at any Luminance level in its range of operation;

  • maintain this accuracy at Luminance levels that are one-tenth of the minimum measured Luminance of the Display System;

  • have an acceptance angle that is small enough to incorporate only the measurement field without overlapping the surrounding background.

Note

The photometer may be of the type that attaches directly to the display face (with a suction cup) or of the type that is held away from the display face. If of the latter type, the photometer should be well baffled to exclude extraneous light sources, including light from the background area of the test pattern.

For a film Display System the photometer may be appropriately used to measure the background Illuminance and the Luminance of the light-box on which the film will be displayed. The Luminance characteristics of the film Display System may be measured directly with the photometer or indirectly using measured optical density of the film and the values for the measured background Illuminance and the light-box Luminance.

D.1 Emissive Display Systems

D.1.1 Measuring the System Characteristic Curve

Before the characteristic Luminance response of the emissive Display System is measured, it is allowed to warm up as recommended by the manufacturer and is adjusted such that it conforms to the manufacturer's performance specifications. In particular, adjustment procedures for setting the black and white levels of the display should be obtained from the Display System manufacturer. The goal is to maximize the dynamic Luminance Range of the display without introducing artifacts, resulting in the highest possible number of Just-Noticeable Differences (JNDs).

Note

A simple test that the system is set up properly can be performed by viewing the 5% and 95% squares in the SMPTE pattern. The perceived contrast between the 5% square and its 0% surrounding should be equal to the perceived contrast between the 95% square and a white square.

Measurement of the Characteristic Curve of the Display System may be accomplished using a test pattern (Figure D.1-1) consisting of:

  • a square measurement field comprising 10% of the total number of pixels displayed by the system positioned in the center of the display;

  • a full-screen uniform background of 20% of maximum Luminance surrounding the target.

Note

With a measurement field of 10% of the total number of displayed pixels and a surrounding set to 20% of maximum Luminance, internal light scatter in the monitor causes the Luminance Range to be typically comparable to that found in radiographs, such as a thorax radiograph, when displayed on the CRT monitor.

The test pattern will be a variable intensity square in the center of a low Luminance background area.

Figure D.1-1. The test pattern will be a variable intensity square in the center of a low Luminance background area.


Note

  1. For example, on a 5-megapixel Display System with a matrix of 2048 by 2560 pixels, the target would be a square with 724 pixels on each side.

  2. Ideally, the test pattern should fill the entire screen. Under certain windowed operating environments, it may be difficult to eliminate certain user-interface objects from the display, in particular, menu bars at the top of the screen. In this case, the background should fill as much of the screen as possible.

The Characteristic Curve of the Display System may be determined by

  • turning off all ambient lighting (necessary only when a suction cup photometer is used or when a handheld photometer casts a shadow on the display screen);

  • displaying the above test pattern;

  • setting the DDL for the measurement field to a sequence of different values, starting with 0 and increasing at each step until the maximum DDL is reached;

  • using a photometer to measure and record the Luminance of the measurement field at each command value.

As discussed in Annex C, the number and distribution of DDLs at which measurements are taken must be sufficient to accurately model the Characteristic Curve of the Display System over the entire Luminance Range.

Note

  1. If a handheld photometer is used, it should be placed at a distance from the display screen so that Luminance is measured in the center of the measurement field, without overlapping the surrounding background. This distance can be calculated using the acceptance angle specification provided by the photometer manufacturer.

  2. The exact number and distribution of DDLs should be based both on the characteristics of the Display System and on the mathematical technique used to interpolate the Characteristic Curve of the system. It is recommended that at least 64 different command values be used in the procedure.

  3. Successive Luminance measurements should be spaced in time such that the Display System always reaches a steady state. It may be particularly important to allow the system to settle before taking the initial measurement at DDL 0.

As stated in the normative section, the effect of ambient light on the apparent Characteristic Curve must always be included when configuring a Display System to conform with the Grayscale Standard Display Function.

If a handheld photometer that does not cast a shadow on the display screen is used to measure the Characteristic Curve, then the Luminance produced by the display plus the effect of ambient light may be measured simultaneously.

When a suction cup photometer is used to take the Luminance measurements or when a handheld photometer casts a shadow on the display screen, all ambient lighting should be turned off while measuring the Characteristic Curve. The effect of ambient light is determined separately: The Display System is turned off, the ambient light is turned on, and the Luminance produced by scattering of ambient light at the display screen is measured by placing the photometer at a distance from the display screen so that its acceptance angle includes a major portion of the screen and that the measurement is not affected by direct illumination from areas outside the display screen. The Luminance related to ambient light is added to the previously measured Luminance levels produced by the Display System to determine the effective Characteristic Curve of the system.

Note

Changes in ambient lighting conditions may require recalibration of the display subsystem in order to maintain conformance to this standard.

In the following, an example for measurements and transformation of a Display Function is presented. The Display System for this example is a CRT monitor with display controller. It is assumed that the display controller allows a transformation of the DDLs with 8-bit input precision and 10-bit output precision.

The Luminance is measured with a photometer with a narrow (1°) acceptance angle. The ambient light level was adjusted as low as possible. No localized highlights were visible.

  1. The maximum Luminance was measured when setting the DDL for the measurement field to the value that yielded the highest Luminance and the DDL of the surrounding to the middle DDL range. From this measurement, the Luminance - 20% of the maximum Luminance - for the surrounding of the measurement field was calculated.

  2. The ambient light was turned off. With the photometer centered on the measurement field of the test pattern of Figure D.1-1, the Luminance was measured when varying the input level Dm in increments of 1 from 0 to 255. The transformation operator of the hypothetical display controller linearly mapped 8 bits on the input to 10 bits on the output. The measured data represent the Characteristic Curve L = F(Dm) for the given operating conditions and this test pattern.

  3. Next, the CRT was turned off and the ambient light turned on. The photometer was placed on the center axis of the CRT sufficiently far away so that it did not cast a shadow on the CRT face and its aperture intercepted light scattered from a major portion of the CRT face. The measured Luminance of 0.3 cd/m2produced by the ambient light on the CRT face was added to the measured Luminance values of the Characteristic Curve without ambient light. The result is listed in Table D.1-1 and plotted in Figure D.1-2.

Measured Characteristic Curve with Ambient Light of an emissive Display System

Figure D.1-2. Measured Characteristic Curve with Ambient Light of an emissive Display System


Table D.1-1. Measured Characteristic Curve plus Ambient Light

DDL

Luminance

DDL

Luminance

DDL

Luminance

DDL

Luminance

0

0.305

1

0.305

2

0.305

3

0.305

4

0.305

5

0.305

6

0.305

7

0.305

8

0.305

9

0.305

10

0.305

11

0.307

12

0.307

13

0.307

14

0.307

15

0.307

16

0.307

17

0.307

18

0.307

19

0.307

20

0.307

21

0.307

22

0.310

23

0.310

24

0.310

25

0.310

26

0.310

27

0.320

28

0.320

29

0.320

30

0.330

31

0.330

32

0.340

33

0.350

34

0.360

35

0.370

36

0.380

37

0.392

38

0.410

39

0.424

40

0.442

41

0.464

42

0.486

43

0.512

44

0.534

45

0.562

46

0.594

47

0.626

48

0.674

49

0.710

50

0.750

51

0.796

52

0.842

53

0.888

54

0.938

55

0.994

56

1.048

57

1.108

58

1.168

59

1.232

60

1.294

61

1.366

62

1.438

63

1.512

64

1.620

65

1.702

66

1.788

67

1.876

68

1.960

69

2.056

70

2.154

71

2.248

72

2.350

73

2.456

74

2.564

75

2.670

76

2.790

77

2.908

78

3.022

79

3.146

80

3.328

81

3.460

82

3.584

83

3.732

84

3.870

85

4.006

86

4.156

87

4.310

88

4.456

89

4.608

90

4.766

91

4.944

92

5.104

93

5.268

94

5.444

95

5.630

96

5.864

97

6.050

98

6.238

99

6.438

100

6.610

101

6.820

102

7.024

103

7.224

104

7.428

105

7.644

106

7.872

107

8.066

108

8.298

109

8.528

110

8.752

111

8.982

112

9.330

113

9.574

114

9.796

115

10.060

116

10.314

117

10.560

118

10.820

119

11.080

120

11.340

121

11.620

122

11.880

123

12.180

124

12.460

125

12.700

126

13.020

127

13.300

128

13.720

129

14.020

130

14.360

131

14.640

132

14.940

133

15.300

134

15.600

135

15.900

136

16.240

137

16.560

138

16.920

139

17.220

140

17.600

141

17.940

142

18.240

143

18.640

144

19.120

145

19.460

146

19.800

147

20.260

148

20.560

149

20.920

150

21.360

151

21.760

152

22.060

153

22.520

154

22.960

155

23.300

156

23.700

157

24.080

158

24.600

159

24.980

160

25.520

161

26.040

162

26.480

163

26.700

164

27.380

165

27.620

166

28.040

167

28.580

168

28.980

169

29.400

170

29.840

171

30.540

172

30.800

173

31.380

174

31.880

175

32.400

176

33.060

177

33.400

178

34.040

179

34.400

180

34.840

181

35.360

182

35.900

183

36.400

184

37.060

185

37.400

186

38.300

187

38.420

188

39.160

189

39.760

190

39.980

191

40.840

192

41.540

193

41.900

194

42.800

195

43.060

196

43.620

197

44.520

198

44.620

199

45.500

200

46.100

201

46.380

202

47.400

203

47.600

204

48.320

205

49.060

206

49.380

207

50.320

208

50.920

209

51.600

210

52.420

211

52.680

212

53.520

213

54.220

214

54.620

215

55.420

216

56.100

217

56.600

218

57.400

219

57.820

220

58.660

221

59.320

222

59.800

223

60.720

224

61.520

225

62.240

226

63.040

227

63.480

228

64.460

229

65.020

230

65.500

231

66.500

232

66.960

233

67.840

234

68.600

235

68.980

236

70.040

237

70.520

238

71.420

239

72.180

240

72.900

241

73.980

242

74.580

243

75.320

244

76.200

245

76.540

246

77.720

247

78.220

248

79.200

249

79.880

250

80.420

251

81.560

252

81.960

253

83.140

254

83.720

255

84.340


D.1.2 Application of the Standard Formula

The section of the Grayscale Standard Display Function for the Luminance Range of the CRT monitor Display System is shown in Figure D.1-3. Minimum and maximum Luminance levels correspond to JND indices of JNDmin = 32.54 and JNDmax = 453.85, respectively. Thus, there are theoretically about 420 just-noticeable Luminance differences for the Standard Target (see Normative Section 6). Obviously, with 8-bit input digitization resolution, at best 256 noticeable Luminance increments can be realized.

D.1.3 Implementation of the Standard

The measured Characteristic Curve is interpolated for the available output levels Doutput, in this case, yielding 1024 Luminance levels LI,m. The Grayscale Standard Display Function is also interpolated between JNDmin and JNDmax ((JND= [JNDmax - JNDmin]/1023 = [453.85 - 32.54]/1023) yielding 1024 Standard Luminance levels LI,STD. Interpolations can be performed by a variety of techniques. Here, a cubic spline technique was employed.

For every LI,STD, the closest LJ,m is determined. The data pair I,J defines the transformation between Dinput and Doutput (Table D.1-2) by which the Luminance response of the Display System is made to approximate the Grayscale Standard Display Function.

Table D.1-2. Look-Up Table for Calibrating Display System

Input

Output

Input

Output

Input

Output

Input

Output

0

0

1

118

2

131

3

140

4

148

5

153

6

160

7

164

8

169

9

173

10

178

11

182

12

185

13

189

14

191

15

194

16

198

17

201

18

204

19

207

20

210

21

214

22

217

23

219

24

222

25

225

26

228

27

231

28

234

29

237

30

240

31

243

32

245

33

248

34

251

35

253

36

255

37

257

38

260

39

263

40

265

41

268

42

271

43

274

44

276

45

279

46

282

47

284

48

287

49

290

50

292

51

295

52

298

53

301

54

303

55

306

56

308

57

311

58

314

59

317

60

319

61

320

62

323

63

326

64

329

65

331

66

334

67

336

68

339

69

342

70

345

71

347

72

350

73

353

74

356

75

359

76

361

77

364

78

367

79

370

80

372

81

375

82

378

83

381

84

383

85

385

86

388

87

391

88

393

89

396

90

399

91

402

92

405

93

407

94

410

95

413

96

416

97

419

98

422

99

425

100

428

101

431

102

434

103

437

104

440

105

443

106

445

107

448

108

450

109

452

110

456

111

459

112

462

113

465

114

468

115

471

116

474

117

477

118

480

119

483

120

486

121

490

122

492

123

495

124

499

125

502

126

505

127

509

128

511

129

513

130

516

131

519

132

522

133

526

134

529

135

532

136

535

137

539

138

542

139

545

140

549

141

552

142

555

143

559

144

562

145

565

146

569

147

572

148

575

149

578

150

581

151

585

152

588

153

591

154

595

155

599

156

602

157

605

158

609

159

613

160

616

161

619

162

623

163

627

164

631

165

633

166

637

167

640

168

643

169

646

170

650

171

655

172

657

173

663

174

666

175

669

176

674

177

678

178

682

179

684

180

688

181

693

182

696

183

700

184

703

185

706

186

711

187

714

188

719

189

723

190

727

191

731

192

735

193

738

194

743

195

745

196

752

197

754

198

758

199

764

200

766

201

769

202

775

203

777

204

783

205

787

206

789

207

796

208

799

209

805

210

808

211

811

212

818

213

821

214

827

215

830

216

834

217

838

218

841

219

848

220

851

221

856

222

861

223

864

224

870

225

874

226

880

227

883

228

889

229

893

230

897

231

901

232

905

233

911

234

915

235

922

236

925

237

931

238

935

239

941

240

945

241

951

242

955

243

960

244

964

245

969

246

975

247

979

248

985

249

991

250

995

251

1002

252

1006

253

1012

254

1016

255

1023


D.1.4 Measures of Conformance

The FIT and the LUM metrics proposed in Annex C are applied to determine the macroscopic and microscopic approximation of the L J,mto the L I,STD. Figure D.1-3 shows the perceptually linearized Display Function superimposed on the Grayscale Standard Display Function and Figure D.1-4 summarizes the results of the two metrics. A good global fit was achieved as demonstrated by the nearly horizontal-line fit as best fit obtained with the FIT metric. The RMSE is acceptable. All 255 P-Value intervals lead to JNDs on the transformed Display Function for the Standard Target.

Measured and interpolated Characteristic Curve, Grayscale Standard Display Function and transformed Display Function of an emissive Display System. The transformed Display Function for this Display System matches the Grayscale Standard Display Function and the two curves are superimposed and indistinguishable.

Figure D.1-3. Measured and interpolated Characteristic Curve, Grayscale Standard Display Function and transformed Display Function of an emissive Display System. The transformed Display Function for this Display System matches the Grayscale Standard Display Function and the two curves are superimposed and indistinguishable.


LUM and FIT measures of conformance for a the transformed Display Function of an emissive Display System

Figure D.1-4. LUM and FIT measures of conformance for a the transformed Display Function of an emissive Display System


D.2 Transparent Hardcopy Devices

D.2.1 Measuring the System Characteristic Curve

A transparent hardcopy device is exemplified by a laser printer (including processor) that prints (exposes and processes) one or more images on a sheet of transparent film (typically a 14" x 17" film). This film is eventually placed over a high Luminance light-box in a darkened room for viewing.

The Characteristic Curve for such a transparent hardcopy device is obtained by printing a test image consisting of a pattern of n bars, each bar having a specific numeric value (DDL). The optical density of each printed bar is then measured, using a transmission densitometer, for each of the printed bars.

To accurately define a printer's Characteristic Curve, it is desirable that n be as large as possible (to capture as many points as possible on the Characteristic Curve). However, the limitations on absolute quantitative repeatability imposed by the printer, processor, or media technologies may dictate that a much smaller value of n be used (to prevent a conformance metric that is sensitive to differences from becoming unstable and meaningless, as the density differences between adjacent bars become "in the noise" as the number of bars becomes large).

One example of a test image is a pattern of 32 approximately equal-height bars, spanning the usable printable region of the film, having 32 approximately equi-spaced DDLs as follows:

Layout of a Test Pattern for Transparent Hardcopy Media

Figure D.2-1. Layout of a Test Pattern for Transparent Hardcopy Media


To define a test pattern with n DDLs for a printer with an N-bit input, the DDL of step # i can be set to

Equation D.2-1. 

DDLi = (2N-1)i/(n-1)


rounded to the nearest integer.

The tabulated values of DDLi and the corresponding measured optical densities ODi constitute a Characteristic Curve of the printer.

D.2.2 Application of the Grayscale Standard Display Function

The films that are produced by transparent hardcopy printers are often brought to a variety of locations, where they may be viewed on different light-boxes and under a variety of viewing conditions. Accordingly, the approach of PS3.14 is to define, for hardcopy transparent printers, what densities (rather than Luminances) should be produced, and to provide here a method of applying the Grayscale Standard Display Function to the transparent hardcopy case, based on parameters that are typical of the expected range of light-box Luminances and other viewing parameters.

The specific parameters that are used in the following example are as follows:

  • L0 (Luminance of light-box with no film present): 2000 cd/m2

  • La (ambient room light reflected by film): 10 cd/m2

  • Dmin (minimum optical density obtainable on film): 0.20

  • Dmax (maximum optical density desirable on film): 3.00.

The process of constructing a table of desired OD values from the Grayscale Standard Display Function begins with defining the Luminance Range and the corresponding range of the Just-Noticeable Difference Index, j. The minimum and maximum Luminance values are given respectively by

Equation D.2-2. 

Lmin= La + L010-Dmax = 12.0 cd/m2


Equation D.2-3. 

Lmax= La + L010-Dmin = 1271.9 cd/m2


Next, calculate the corresponding Just-Noticeable Difference Index values, jmin and jmax. For the current example, we obtain

Equation D.2-4. 

jmin = 233.32


Equation D.2-5. 

jmax = 848.75


This gives us the range of j-values that the printer should cover. The printer should map its minimum input (P-Value = 0) to jmin and the corresponding Lmin. It should map its maximum input (P-Value = 2N-1 where N is the number of input bits) to jmax and the corresponding Lmax. At any intermediate input it should map its input proportionately:

Equation D.2-6. 

j(PV) = jmin + (jmax-jmin)


and target values for the Luminance given by the Standard's formula: L(j(P-Value)). This "targeting" consists of producing an optical density OD for this P-Value that will give the desired Luminance L(j(P-Value)) under the conditions of L0 and La previously defined. The required density can thus be calculated as follows:

Equation D.2-7. 


D.2.3 Implementation of the Grayscale Standard Display Function

Carrying this example into the even more specific case of a printer with an 8-bit input leads to the following table, which defines the OD's to be generated for each of the 256 possible P-Values.

Table D.2-1. Optical Densities for Each P-Value for an 8-Bit Printer

P-Value

Optical Density (OD)

P-Value

Optical Density (OD)

P-Value

Optical Density (OD)

P-Value

Optical Density (OD)

0

3.000

1

2.936

2

2.880

3

2.828

4

2.782

5

2.739

6

2.700

7

2.662

8

2.628

9

2.595

10

2.564

11

2.534

12

2.506

13

2.479

14

2.454

15

2.429

16

2.405

17

2.382

18

2.360

19

2.338

20

2.317

21

2.297

22

2.277

23

2.258

24

2.239

25

2.221

26

2.203

27

2.185

28

2.168

29

2.152

30

2.135

31

2.119

32

2.103

33

2.088

34

2.073

35

2.058

36

2.043

37

2.028

38

2.014

39

2.000

40

1.986

41

1.973

42

1.959

43

1.946

44

1.933

45

1.920

46

1.907

47

1.894

48

1.882

49

1.870

50

1.857

51

1.845

52

1.833

53

1.821

54

1.810

55

1.798

56

1.787

57

1.775

58

1.764

59

1.753

60

1.742

61

1.731

62

1.720

63

1.709

64

1.698

65

1.688

66

1.677

67

1.667

68

1.656

69

1.646

70

1.636

71

1.626

72

1.616

73

1.605

74

1.595

75

1.586

76

1.576

77

1.566

78

1.556

79

1.547

80

1.537

81

1.527

82

1.518

83

1.508

84

1.499

85

1.490

86

1.480

87

1.471

88

1.462

89

1.453

90

1.444

91

1.434

92

1.425

93

1.416

94

1.407

95

1.398

96

1.390

97

1.381

98

1.372

99

1.363

100

1.354

101

1.346

102

1.337

103

1.328

104

1.320

105

1.311

106

1.303

107

1.294

108

1.286

109

1.277

110

1.269

111

1.260

112

1.252

113

1.244

114

1.235

115

1.227

116

1.219

117

1.211

118

1.202

119

1.194

120

1.186

121

1.178

122

1.170

123

1.162

124

1.154

125

1.146

126

1.138

127

1.130

128

1.122

129

1.114

130

1.106

131

1.098

132

1.090

133

1.082

134

1.074

135

1.066

136

1.058

137

1.051

138

1.043

139

1.035

140

1.027

141

1.020

142

1.012

143

1.004

144

0.996

145

0.989

146

0.981

147

0.973

148

0.966

149

0.958

150

0.951

151

0.943

152

0.935

153

0.928

154

0.920

155

0.913

156

0.905

157

0.898

158

0.890

159

0.883

160

0.875

161

0.868

162

0.860

163

0.853

164

0.845

165

0.838

166

0.831

167

0.823

168

0.816

169

0.808

170

0.801

171

0.794

172

0.786

173

0.779

174

0.772

175

0.764

176

0.757

177

0.750

178

0.742

179

0.735

180

0.728

181

0.721

182

0.713

183

0.706

184

0.699

185

0.692

186

0.684

187

0.677

188

0.670

189

0.663

190

0.656

191

0.648

192

0.641

193

0.634

194

0.627

195

0.620

196

0.613

197

0.606

198

0.598

199

0.591

200

0.584

201

0.577

202

0.570

203

0.563

204

0.556

205

0.549

206

0.542

207

0.534

208

0.527

209

0.520

210

0.513

211

0.506

212

0.499

213

0.492

214

0.485

215

0.478

216

0.471

217

0.464

218

0.457

219

0.450

220

0.443

221

0.436

222

0.429

223

0.422

224

0.415

225

0.408

226

0.401

227

0.394

228

0.387

229

0.380

230

0.373

231

0.366

232

0.359

233

0.352

234

0.345

235

0.338

236

0.331

237

0.324

238

0.317

239

0.311

240

0.304

241

0.297

242

0.290

243

0.283

244

0.276

245

0.269

246

0.262

247

0.255

248

0.248

249

0.241

250

0.234

251

0.228

252

0.221

253

0.214

254

0.207

255

0.200


Plotting these values gives the curve of Figure D.2-3.

Plot of OD vs P-Value for an 8-Bit Printer

Figure D.2-3. Plot of OD vs P-Value for an 8-Bit Printer


D.2.4 Measures of Conformance

As an example, a bar pattern with 32 optical densities was printed on transmissive media (film). Beforehand, the printer had been set up to print over a density range from 0.2 (Dmin) to 3.0 (Dmax) and had been pre-configured by the manufacturer to use the Grayscale Standard Display Function, converted by the manufacturer into the table of target density values vs. P-Values described earlier.

The test pattern that was used for this was an 8-bit image consisting essentially of 32 horizontal bars. The 32 P-Values used for the bars were as follows: 0, 8, 16, 25, 33, 41, 49, 58, 66, 74, 82, 90,99, 107, 115, 123, 132, 140, 148, 156, 165, 173, 181, 189, 197, 206, 214,222, 230, 239, 247, 255.

For a given film, the 32 bars' optical densities were measured (near the middle of the film), converted to Luminances (using the standard parameters of light-box Luminance and reflected ambient light described earlier),and converted to Just-Noticeable Difference Indices by mathematically computing j(L) from L(j), where L(j) is the Grayscale Standard Display Function of Luminance L as a function of the Just-Noticeable Difference Index j. For each of the 31 intervals between consecutive measured values, a calculated value of "JNDs per increment in P-Values" was obtained by dividing the difference in Just-Noticeable Difference Index by the difference in P-Values for that interval. (In these calculations, density, L, and j are all floating-point variables. No rounding to integer values is done, so no truncation error is introduced.)

In this example, the film's data could be reasonably well fit by a horizontal straight line. That is, the calculated "JNDs per increment in P-Values was essentially constant at 2.4. A mathematical fit yielded a slight non-zero slope (specifically, dropping from 2.5 to 2.3 as the P-Value went from 0 to 255), but the 0.2 total difference was considerably smaller than the noise that was present in the 31 individual values of "JNDs per increment in P-Value" so is of doubtful significance. (The "noise" referred to here consists of the random, non-repeatable variations that are seen if a new set of measured data (e.g., from a second print of the same test pattern) is compared with a previous set of measurements.)

No visual tests were done to see if a slope that small could be detected by a human observer in side-by-side film comparisons.

Incidentally, if one considers just the 32 original absolute measured densities (rather than differential values based on small differences), one finds, in this case, quite reasonable agreement between the target and measured optical densities (within the manufacturer's norms for density accuracy, at a given density). But if one uses any metric that is based on differential information over small intervals, the results must be considered more cautiously, since they can be strongly affected by (and may be dominated by) various imperfections that are independent of a device's "true" (or averaged over many cases) characteristic behavior.

D.3 Reflective Display Systems

This last example illustrates how conformance with the Grayscale Standard Display Function may be achieved for a thermal-dye-transfer paper printer/office-light system. The thermal-dye-transfer printer produces black-and-white grayscale prints on a semi-glossy 8-inch x 10-inch heavy-gauge paper. The print is illuminated uniformly by fluorescent lamps so that the minimum reflective density produces a Luminance of 150 cd/m2. The hypothetical transformation operator is assumed to have equal input and output digitization resolution of 8 bits.

D.3.1 Measuring the System Characteristic Curve

A print with a 64-step grayscale tablet was printed for DDLs 4, 8, 12, ...,248, 252, 255. The reflection optical densities (from 0.08 to 2.80) were measured with a densitometer. The Luminance levels corresponding to the measured optical densities and illumination conditions are plotted in Figure D.3-1.

Measured and interpolated Characteristic Curve and Grayscale Standard Display Function for a printer producing reflective hard-copies

Figure D.3-1. Measured and interpolated Characteristic Curve and Grayscale Standard Display Function for a printer producing reflective hard-copies


D.3.2 Application of the Grayscale Standard Display Function

This last example illustrates how conformance with the Grayscale Standard Display Function may be achieved for a thermal-dye-transfer paper printer/office-light system. The thermal-dye-transfer printer produces black-and-white grayscale prints on a semi-glossy 8-inch x 10-inch heavy-gauge paper. The print is illuminated uniformly by fluorescent lamps so that the minimum reflective density produces a Luminance of 150 cd/m2. The hypothetical transformation operator is assumed to have equal input and output digitization resolution of 8 bits.

D.3.3 Implementation of the Grayscale Standard Display Function

The measured Characteristic Curve is interpolated for the available DDLs yielding 256 Luminance levels LI,m. The Grayscale Standard Display Function is also interpolated between JNDmin and JNDmax (DJND = [JNDmax - JNDmin]/255) yielding 256 Standard Luminance levels LI,STD.

For every LI,STD, the closest LJ,m is determined. The data pair I,J defines the transformation between Dinput and Doutput (Table D.3-1 and Figure D.3-2) by which the Luminance response of the Display System is made to approximates the Grayscale Standard Display Function.

Transformation for modifying the Characteristic Curve of the printer to a Display Function that approximates the Grayscale Standard Display Function

Figure D.3-2. Transformation for modifying the Characteristic Curve of the printer to a Display Function that approximates the Grayscale Standard Display Function


Table D.3-1. Look-Up Table for Calibrating Reflection Hardcopy System

P-Value

DDL

P-Value

DDL

P-Value

DDL

P-Value

DDL

0

6

1

9

2

12

3

15

4

18

5

20

6

27

7

29

8

30

9

31

10

31

11

32

12

33

13

33

14

34

15

36

16

38

17

40

18

41

19

42

20

43

21

44

22

45

23

59

24

60

25

61

26

62

27

62

28

63

29

63

30

64

31

64

32

65

33

65

34

65

35

66

36

66

37

67

38

67

39

68

40

70

41

74

42

75

43

76

44

78

45

84

46

85

47

86

48

87

49

87

50

88

51

89

52

89

53

91

54

92

55

94

56

95

57

96

58

97

59

97

60

98

61

99

62

99

63

100

64

101

65

102

66

103

67

104

68

105

69

106

70

107

71

108

72

109

73

110

74

112

75

114

76

116

77

118

78

119

79

120

80

121

81

122

82

122

83

123

84

123

85

124

86

125

87

125

88

126

89

126

90

127

91

127

92

128

93

129

94

130

95

131

96

133

97

134

98

135

99

136

100

136

101

137

102

138

103

138

104

139

105

139

106

140

107

141

108

143

109

145

110

147

111

148

112

149

113

150

114

151

115

152

116

153

117

154

118

154

119

155

120

156

121

156

122

157

123

158

124

159

125

160

126

160

127

162

128

163

129

164

130

165

131

166

132

167

133

168

134

169

135

170

136

170

137

171

138

172

139

172

140

173

141

174

142

175

143

175

144

176

145

177

146

178

147

179

148

179

149

180

150

181

151

182

152

182

153

183

154

184

155

184

156

185

157

186

158

186

159

187

160

187

161

188

162

188

163

189

164

189

165

190

166

190

167

190

168

191

169

191

170

192

171

192

172

192

173

193

174

194

175

194

176

195

177

195

178

196

179

197

180

198

181

199

182

199

183

200

184

200

185

201

186

202

187

202

188

203

189

203

190

204

191

204

192

205

193

205

194

206

195

207

196

207

197

208

198

209

199

210

200

211

201

212

202

213

203

214

204

214

205

215

206

216

207

216

208

217

209

218

210

219

211

219

212

220

213

220

214

221

215

222

216

222

217

223

218

223

219

224

220

224

221

225

222

226

223

226

224

227

225

228

226

228

227

230

228

231

229

232

230

234

231

235

232

236

233

238

234

238

235

239

236

240

237

241

238

242

239

242

240

243

241

244

242

245

243

246

244

247

245

248

246

249

247

250

248

250

249

251

250

251

251

252

252

252

253

253

254

253

255

254


D.3.4 Measures of Conformance

The FIT and LUM metrics as proposed in Annex C are applied to determine the macroscopic and microscopic approximation of the LJ,m to the LI,STD. Figure D.3-3 shows the perceptually linearized Display Function superimposed on the Grayscale Standard Display Function and Figure D.3-4 summarizes the results of the two metrics. FIT provides as best fit of the JNDs/Luminance interval a straight line almost perfectly parallel to the horizontal axis indicating good global fit of the transformed Display Function with the Grayscale Standard Display Function. The RMSE computed by LUM is relatively large indicating more pronounced local deviations from the Grayscale Standard Display Function as, for example, with the soft-copy Display System illustrated in Section D.1. At least in part, the larger RMSE is due to the fact that the input and output digitization resolution for the transform are equal. The transformation table (Table D.3-1) and Figure D.3-2 show that several P-Values lead to the same Luminance levels on the transformed Display Function. In fact, only 205 of the 255 Luminance intervals lead to JNDs for the Standard Target.

Transformed Display Function and superimposed Grayscale Standard Display Function for a reflective hard-copy Display System. The transformed Display Function for this Display System matches the Grayscale Standard Display Function and the two curves are superimposed and indistinguishable.

Figure D.3-3. Transformed Display Function and superimposed Grayscale Standard Display Function for a reflective hard-copy Display System. The transformed Display Function for this Display System matches the Grayscale Standard Display Function and the two curves are superimposed and indistinguishable.


Measures of conformance for a reflective hard-copy Display System with equal input and output digitization resolution of 8 bits

Figure D.3-4. Measures of conformance for a reflective hard-copy Display System with equal input and output digitization resolution of 8 bits


E Realizable JND Range of a Display Under Ambient Light (Informative)

Dynamic rangeis an often used measures of the information content that can be presented by a Display System. However, there are many definitions of dynamic range, and most such definitions do not take into account real world conditions that affect the actual amount of information that can be conveyed by a gray scale pixel. For example, Poynton [E1] refers to the contrast ratioof a gray scale display device as the ratio of display intensity between the brightest white and the darkest black of the particular display device in question. However, this definition of dynamic range applies to ideal viewing conditions. Real world conditions such as veiling glare, noise, spatial frequency content of the image, power supply saturation, and ambient lighting in a cathode ray tube (CRT) based viewing situation can degrade the measured dynamic range of the system significantly [E2, E3]. Because of all of these variables dynamic range is an ill-defined concept for a Display System.

Note

Veiling Glare is the phenomenon wherein internal light reflections inside the CRT creates a "background lighting" thus reducing the contrast range of the CRT device.

The methods used to determine the degree to which the Display Function of a Display System approximates the Grayscale Standard Display Function can also be used to define two measures that might better characterize the potential capabilities of a Display System to convey information content. Two measures, the theoretically achievable JNDs and the realized JNDs, are useful for comparing Display Systems [E4].

The number of theoretically achievable JNDs is simply the number of JNDs predicted by the visual model given the Luminance Range of the Display System used. The number of theoretically achievable JNDs of a Display System may be found from Table B-1 by counting the number of JNDs in the table that fall between the measured minimum and maximum Luminance of the Display System.

This number of JNDs may not actually be achievable due to resolution limitations of other portions of the Display System, in particular, the quantization resolution given by the finite number of bits per pixel driving the Display System. For example, Table B-1 may show that a particular Display System is capable of delivering 352 JNDs. However, if only 8 bits per pixel are presented to the Display System, the number of JNDs achievable cannot exceed 2 8= 256 JNDs because of the quantizing effect. In actual fact, the number of JNDs realized in a Display System will always be smaller than or equal to the lower of the theoretically achievable JNDs and the quantization limit. This is because some of the quantized values input to the display may not line up with the input value required to achieve the next JND.

The more useful number of realized JNDs, describes how many JNDs are actually achieved given the specifics of the Display System (i.e., the number of gray levels of contrast resolution and the distribution of Luminance values). This definition gives a measure of the information that can actually be conveyed by the system to a human observer, in essence, an informational dynamic range. This number is calculated beginning at the minimum Luminance of the Display System, and then stepping one JND in Luminance from the current Luminance value, and choosing the smallest increment in DDL value that achieves a step at least that large. Repeating this through all the available DDLs will produce a sequence of steps, all at least 1 JND apart, and the length of this sequence of steps is then the number of realizable JNDs of the Display System.

The methods of PS3.14 cannot precisely duplicate all of the real world sources of degradation in a Display System. However, this uniform method of determining the realizable number of JNDs should give a measure of the actual performance of a particular Display System that would be experienced by a human observer when using the Display System in a real world situation such as the viewing of radiological images in medicine.

References

[E1] Poynton, C. "Frequently Asked Questions about Gamma",Internet ftp://ftp.inforamp.net/pub/users/poynton/doc/colour/gammaFAQ.pdf

[E2] Roehrig, H., Blume, H., Ji, T. and Browne, M.; "Performance Tests and Quality Control of Cathode Ray Tube Displays"; J. Digital Imaging, Vol. 3, No. 3, August 1990; pp. 134-145.

[E3] Gray, J.; "Use of the SMPTE Test Pattern in Picture Archiving and Communication Systems"; J. Digital Imaging, Vol. 5, No. 1, February 1992; pp. 54-58.

[E4] Hemminger, B., Muller, K., "Performance Metric for evaluating conformance of medical image displays with the ACR/NEMA display function standard", SPIE Medical Imaging 1997, editor Yongmin Kim, vol 3031-25, 1997.